8 Textanalyse III.1: Wortfrequenzanalysen - Worthäufigkeiten
Die Konstruktion von Geschlecht und Geschlechterrollen in europäischen Märchen wird seit den 1970er Jahren in zahlreichen Forschungsarbeiten untersucht (zum Beispiel von Marcia Lieberman 1972, Alessandra Levorato 2003, Simone Loleit und Liliane Schüller 2022). In den letzten beiden Jahrzehnten sind Märchen auch zum Gegenstand von Arbeiten aus den Digital Humanities geworden (so z.B. in den Arbeiten von Saif Mohammad 2011, Mark Finlayson 2012, Berenike Herrmann und Jana Lüdtke 2023). Eine Reihe von Digital Humanities Arbeiten haben sich explizit Geschlecht und Geschlechterrollen in Märchen gewidmet, so zum Beispiel:
- Toro Isaza, Paulina et al. (2023). Are Fairy Tales Fair? Analyzing Gender Bias in Temporal Narrative Event Chains of Children’s Fairy Tales, in: Proceedings of the 61st Annual Meeting of the Association for Computational Linguistics 1: Long Papers, pp. 6509-6531.
- Jorgensen, Jeana (2019). The Most Beautiful of All: A Quantitative Approach to Fairy-Tale Femininity, in: Journal of American Folklore 132 (523), pp. 36-60.
- Weingart, Scott and Jorgensen, Jeana (2013). Computational Analysis of the Body in European Fairy Tales, in: Literary and Linguistic Computing 28 (1), pp. 404-416.
In den nächsten beiden Wochen werden wir ein Korpus von Kinder- und Hausmärchen der Gebrüder Grimm aus dem Jahr 1857 im Hinblick auf die Darstellung verschiedener Märchencharaktere untersuchen. Dabei werden wir verschiedene Analysemethoden kennenlernen und kritisch beleuchten, inwieweit diese Methoden uns helfen können, bestimmte Muster in der Beschreibung von Märchencharakteren zu identifizieren. In diesem Kapitel werden wir zunächst Worthäufigkeiten und das gemeinsame Vorkommen verschiedener Wörter unabhängig von der Beziehung der Wörter zueinander betrachten. Wir werden dabei kritisch beleuchten, was die vorgestellten Analysemethoden leisten können und was nicht. Im Kapitel 9 werden wir dann konkreten Fragen nachgehen: Welche Charaktere kommen in den Märchen vor? Mit welchen Adjektiven werden diese beschrieben? Welche Verben werden mit ihnen assoziiert?
Verständnisfragen:
- Welche theoretischen Annahmen liegen unserer Forschungsfrage zugrunde?
- Wie wird die Fragestellung im Folgenden operationalisiert?
Das Kapitel Wortfrequenzanalysen hat zwei Teile, denn es das Thema ist sehr umfangreich. Im ersten Teil beschäftigen wir uns zunächst mit Worthäufigkeiten selbst: Was bedeuten Worthäufigkeiten? Wie kann man Worthäufigkeiten beschreiben, vergleichen und visualisieren? Und wie können wir für unsere Analyse interessante Tokens identifizieren? Im zweiten Teil beschäftigen wir uns mit dem gemeinsamen Vorkommen von Wörtern in einem bestimmten Kontext und damit, was es bedeutet, wenn zwei Wörter gemeinsam vorkommen.
8.1 Märchenkorpus einlesen und Pakete installieren
Um unser Korpus in R einzulesen, müssen wir zuerst wieder das Arbeitsverzeichnis setzen:
# Arbeitsverzeichnis setzen: Setzt hier euren eigenen Pfad ein
setwd("/Users/gast/R-Seminar")
# Backslashes für Windows:
# setwd("C:\Users\gast\R-Seminar")Wie bereits vergangene Woche erläutert kann das Arbeitsverzeichnis auch über den Tab “Files” im Fenster unten rechts gesetzt werden. Navigiert euch dazu erst in den gewünschten Ordner, klickt dann auf “More” und “Set As Working Directory” (siehe Kapitel “Orientierung im RStudio”). Wählt dabei den Ordner als Arbeitsverzeichnis, in dem ihr den Ordner maerchen_alle gespeichert habt. Achtung: Zip-Ordner müsst ihr vorher entpacken!
Wenn ihr das Arbeitsverzeichnis gesetzt habt, könnt ihr die Dateien einlesen. Wir werden ganz am Ende unserer Analyse die Grimm-Märchen in der siebten Edition von 1857 mit den Märchen aus der ersten Edition von 1812/15 vergleichen, um einen möglichen Wandel über die Zeit zu identifizieren.
library(readtext)
# Märchen von 1857 und 1812/15 einlesen und Informationen aus dem Dateinamen extrahieren
maerchen_alle <- readtext("maerchen_alle/*.txt", docvarsfrom = "filenames", dvsep = "_", docvarnames = c("Titel", "Jahr"), encoding = "UTF-8")Bevor wir mit der Analyse starten können, müssen wir noch einige Pakete installieren, die wir brauchen werden:
install.packages(c("quanteda.textplots", "quanteda.textstats", "ggplot2", "plotly", "udpipe", "dplyr", "tidytext"))Die Pakete müssen wie bisher immer nur einmal am Anfang des Skripts geladen werden. Allerdings werden wir in den folgenden Abschnitten Funktionen aus vielen verschiedenen Paketen verwenden. Deswegen werden wir in diesem Kapitel ausnahmsweise Pakete erst dann laden, wenn sie gebraucht werden, sodass ihr in jeder Codezelle direkt erkennt, ob der Code Funktionen aus zusätzlichen Paketen enthält.
8.2 Erste Preprocessingschritte
Wir werden in der Analyse verschiedene Methoden einmal auf das Korpus mit und einmal ohne Stoppwörter anwenden, denn je nach Fragestellung und Methode sind Stoppwörter mehr oder weniger interessant. Deswegen erstellen wir in diesem Abschnitt zwei verschiedene tokens-Objekte. Wir werden aber auch sehen, dass Textanalyse und Preprocessing eigentlich iterative Prozesse sind: Es kommt oft vor, dass bei der Analyse weitere Preprocessingschritte notwendig werden.
library(quanteda)
# Quanteda-corpus-Objekt erstellen
maerchen_corpus_alle <- corpus(maerchen_alle)
# Teilkorpus extrahieren
maerchen_corpus <- corpus_subset(maerchen_corpus_alle, Jahr == 1857)
# Quanteda tokens-Objekt erstellen ohne weiteres Preprocessing
maerchen_toks_raw <- tokens(maerchen_corpus)
# Quanteda-tokens-Objekt erstellen MIT Stoppwörtern
maerchen_toks <- tokens(maerchen_corpus, remove_punct = TRUE) %>%
tokens_tolower()
# Quanteda-tokens-Objekt erstellen OHNE Stoppwörter
maerchen_toks_rm <- tokens_remove(maerchen_toks, pattern = stopwords("de"))Wir haben jetzt also ein corpus-Objekt sowie zwei verschiedene tokens-Objekte (eins mit und eins ohne Stoppwörter), die wir in unserer Analyse verwenden können.
8.3 Worthäufigkeiten verstehen
In diesem Abschnitt betrachten wir Worthäufigkeiten über das gesamte Korpus hinweg und vergleichen Worthäufigkeiten in verschiedenen Dokumenten miteinander. Dazu lernen wir drei verschiedene Maße kennen: absolute Häufigkeiten, relative Häufigkeiten und TF-IDF, die sogenannte Term Frequency-Inverse Document Frequency.
8.3.1 Absolute Häufigkeiten und das Zipf’sche Gesetz
Zunächst ist es sinnvoll, sich einen Überblick über das Korpus zu verschaffen. Aus der letzten Woche kennt ihr bereits die summary()-Funktion. Wenn dieser Funktion als Argument ein Quanteda Corpus-Objekt übergeben wird, liefert sie einen Dataframe mit der Anzahl von Types und Tokens zu jedem Text. Der Text wird dabei automatisch mit den Defaultargumenten tokenisiert.
## Corpus consisting of 194 documents, showing 194 documents:
##
## Text Types Tokens Sentences Titel Jahr
## Allerleirauh_1857.txt 617 2361 86 Allerleirauh 1857
## Armuth-und-Demuth-fuehren-zum-Himmel_1857.txt 252 517 22 Armuth-und-Demuth-fuehren-zum-Himmel 1857
## Aschenputtel_1857.txt 703 2851 105 Aschenputtel 1857
## Bruder-Lustig_1857.txt 950 4792 232 Bruder-Lustig 1857
## Bruederchen-und-Schwesterchen_1857.txt 691 2670 100 Bruederchen-und-Schwesterchen 1857
## Das-alte-Muetterchen_1857.txt 188 355 12 Das-alte-Muetterchen 1857
## Das-blaue-Licht_1857.txt 605 1929 78 Das-blaue-Licht 1857
## Das-Dietmarsische-Luegenmaerchen_1857.txt 132 211 9 Das-Dietmarsische-Luegenmaerchen 1857
## Das-eigensinnige-Kind_1857.txt 83 136 4 Das-eigensinnige-Kind 1857
## Das-Eselein_1857.txt 508 1420 58 Das-Eselein 1857
## Das-Hirtenbueblein_1857.txt 179 367 13 Das-Hirtenbueblein 1857
## Das-junggegluehte-Maennlein_1857.txt 288 561 19 Das-junggegluehte-Maennlein 1857
## Das-kluge-Grethel_1857.txt 368 1083 43 Das-kluge-Grethel 1857
## Das-Laemmchen-und-Fischchen_1857.txt 262 637 21 Das-Laemmchen-und-Fischchen 1857
## Das-Lumpengesindel_1857.txt 369 859 28 Das-Lumpengesindel 1857
## Das-Maedchen-ohne-Haende_1857.txt 686 2548 99 Das-Maedchen-ohne-Haende 1857
## Das-Maerchen-vom-Schlauraffenland_1857.txt 192 349 13 Das-Maerchen-vom-Schlauraffenland 1857
## Das-Meerhaeschen_1857.txt 447 1307 57 Das-Meerhaeschen 1857
## Das-Raethsel_1857.txt 466 1236 48 Das-Raethsel 1857
## Das-singende-springende-Loeweneckerchen_1857.txt 694 2560 73 Das-singende-springende-Loeweneckerchen 1857
## Das-tapfere-Schneiderlein_1857.txt 998 3607 146 Das-tapfere-Schneiderlein 1857
## Das-Todtenhemdchen_1857.txt 145 285 7 Das-Todtenhemdchen 1857
## Das-Waldhaus_1857.txt 606 2014 72 Das-Waldhaus 1857
## Das-Wasser-des-Lebens_1857.txt 663 2440 84 Das-Wasser-des-Lebens 1857
## Daumerlings-Wanderschaft_1857.txt 610 1767 74 Daumerlings-Wanderschaft 1857
## Daumesdick_1857.txt 743 2575 107 Daumesdick 1857
## Der-alte-Grossvater-und-der-Enkel_1857.txt 152 262 11 Der-alte-Grossvater-und-der-Enkel 1857
## Der-alte-Hildebrand_1857.txt 385 1620 43 Der-alte-Hildebrand 1857
## Der-alte-Sultan_1857.txt 400 938 34 Der-alte-Sultan 1857
## Der-arme-Junge-im-Grab_1857.txt 500 1347 58 Der-arme-Junge-im-Grab 1857
## Der-arme-Muellerbursch-und-das-Kaetzchen_1857.txt 506 1501 52 Der-arme-Muellerbursch-und-das-Kaetzchen 1857
## Der-Arme-und-der-Reiche_1857.txt 607 1802 62 Der-Arme-und-der-Reiche 1857
## Der-Baerenhaeuter_1857.txt 698 2179 81 Der-Baerenhaeuter 1857
## Der-Bauer-und-der-Teufel_1857.txt 192 405 19 Der-Bauer-und-der-Teufel 1857
## Der-Dreschflegel-vom-Himmel_1857.txt 199 394 11 Der-Dreschflegel-vom-Himmel 1857
## Der-Eisenhans_1857.txt 885 3502 149 Der-Eisenhans 1857
## Der-Eisenofen_1857.txt 595 2307 86 Der-Eisenofen 1857
## Der-faule-Heinz_1857.txt 462 1077 39 Der-faule-Heinz 1857
## Der-Frieder-und-das-Catherlieschen_1857.txt 749 2898 130 Der-Frieder-und-das-Catherlieschen 1857
## Der-Froschkoenig-oder-der-eiserne-Heinrich_1857.txt 497 1560 52 Der-Froschkoenig-oder-der-eiserne-Heinrich 1857
## Der-Fuchs-und-das-Pferd_1857.txt 236 537 17 Der-Fuchs-und-das-Pferd 1857
## Der-Fuchs-und-die-Frau-Gevatterin_1857.txt 207 399 13 Der-Fuchs-und-die-Frau-Gevatterin 1857
## Der-Fuchs-und-die-Gaense_1857.txt 141 258 11 Der-Fuchs-und-die-Gaense 1857
## Der-Fuchs-und-die-Katze_1857.txt 173 331 21 Der-Fuchs-und-die-Katze 1857
## Der-Geist-im-Glas_1857.txt 605 2054 75 Der-Geist-im-Glas 1857
## Der-gelernte-Jaeger_1857.txt 670 2443 80 Der-gelernte-Jaeger 1857
## Der-gescheidte-Hans_1857.txt 163 1318 166 Der-gescheidte-Hans 1857
## Der-gestohlene-Heller_1857.txt 179 359 13 Der-gestohlene-Heller 1857
## Der-Gevatter-Tod_1857.txt 477 1336 52 Der-Gevatter-Tod 1857
## Der-glaeserne-Sarg_1857.txt 957 2443 89 Der-glaeserne-Sarg 1857
## Der-goldene-Schluessel_1857.txt 120 192 9 Der-goldene-Schluessel 1857
## Der-goldene-Vogel_1857.txt 862 3285 126 Der-goldene-Vogel 1857
## Der-Grabhuegel_1857.txt 597 1608 71 Der-Grabhuegel 1857
## Der-gute-Handel_1857.txt 565 1926 70 Der-gute-Handel 1857
## Der-Hahnenbalken_1857.txt 155 288 13 Der-Hahnenbalken 1857
## Der-Hase-und-der-Igel_1857.txt 518 1523 68 Der-Hase-und-der-Igel 1857
## Der-heilige-Joseph-im-Walde_1857.txt 408 1282 58 Der-heilige-Joseph-im-Walde 1857
## Der-Herr-Gevatter_1857.txt 250 685 34 Der-Herr-Gevatter 1857
## Der-Hund-und-der-Sperling_1857.txt 384 1379 62 Der-Hund-und-der-Sperling 1857
## Der-Jude-im-Dorn_1857.txt 647 1995 76 Der-Jude-im-Dorn 1857
## Der-junge-Riese_1857.txt 790 3381 123 Der-junge-Riese 1857
## Der-kluge-Knecht_1857.txt 146 295 15 Der-kluge-Knecht 1857
## Der-Koenig-vom-goldenen-Berg_1857.txt 739 2635 94 Der-Koenig-vom-goldenen-Berg 1857
## Der-Koenigssohn-der-sich-vor-nichts-fuerchtet_1857.txt 685 2279 86 Der-Koenigssohn-der-sich-vor-nichts-fuerchtet 1857
## Der-Krautesel_1857.txt 833 2893 104 Der-Krautesel 1857
## Der-Liebste-Roland_1857.txt 530 1614 57 Der-Liebste-Roland 1857
## Der-Meisterdieb_1857.txt 975 3430 129 Der-Meisterdieb 1857
## Der-Mond_1857.txt 364 790 35 Der-Mond 1857
## Der-Nagel_1857.txt 146 291 15 Der-Nagel 1857
## Der-Raeuberbraeutigam_1857.txt 488 1488 63 Der-Raeuberbraeutigam 1857
## Der-Ranzen,-das-Huetlein-und-das-Hoernlein_1857.txt 773 2506 85 Der-Ranzen,-das-Huetlein-und-das-Hoernlein 1857
## Der-Riese-und-der-Schneider_1857.txt 324 838 45 Der-Riese-und-der-Schneider 1857
## Der-Schneider-im-Himmel_1857.txt 353 843 32 Der-Schneider-im-Himmel 1857
## Der-singende-Knochen_1857.txt 355 799 28 Der-singende-Knochen 1857
## Der-Sperling-und-seine-vier-Kinder_1857.txt 440 1018 39 Der-Sperling-und-seine-vier-Kinder 1857
## Der-starke-Hans_1857.txt 803 2879 99 Der-starke-Hans 1857
## Der-Stiefel-von-Bueffelleder_1857.txt 546 1598 67 Der-Stiefel-von-Bueffelleder 1857
## Der-suesse-Brei_1857.txt 132 266 6 Der-suesse-Brei 1857
## Der-Teufel-mit-den-drei-goldenen-Haaren_1857.txt 730 2958 129 Der-Teufel-mit-den-drei-goldenen-Haaren 1857
## Der-Teufel-und-seine-Grossmutter_1857.txt 477 1376 56 Der-Teufel-und-seine-Grossmutter 1857
## Der-treue-Johannes_1857.txt 861 3383 114 Der-treue-Johannes 1857
## Der-Trommler_1857.txt 1029 4223 180 Der-Trommler 1857
## Der-undankbare-Sohn_1857.txt 104 166 5 Der-undankbare-Sohn 1857
## Der-Wolf-und-der-Fuchs_1857.txt 291 812 31 Der-Wolf-und-der-Fuchs 1857
## Der-Wolf-und-der-Mensch_1857.txt 206 483 19 Der-Wolf-und-der-Mensch 1857
## Der-Wolf-und-die-sieben-jungen-Geislein_1857.txt 403 1191 50 Der-Wolf-und-die-sieben-jungen-Geislein 1857
## Der-wunderliche-Spielmann_1857.txt 374 1218 49 Der-wunderliche-Spielmann 1857
## Der-Zaunkoenig_1857.txt 478 1280 70 Der-Zaunkoenig 1857
## Der-Zaunkoenig-und-der-Baer_1857.txt 384 1026 36 Der-Zaunkoenig-und-der-Baer 1857
## Des-Herrn-und-des-Teufels-Gethier_1857.txt 206 369 15 Des-Herrn-und-des-Teufels-Gethier 1857
## Des-Teufels-russiger-Bruder_1857.txt 448 1392 47 Des-Teufels-russiger-Bruder 1857
## Die-alte-Bettelfrau_1857.txt 102 167 8 Die-alte-Bettelfrau 1857
## Die-Alte-im-Wald_1857.txt 361 1001 32 Die-Alte-im-Wald 1857
## Die-beiden-Wanderer_1857.txt 1198 4487 176 Die-beiden-Wanderer 1857
## Die-Bienenkoenigin_1857.txt 318 845 27 Die-Bienenkoenigin 1857
## Die-Boten-des-Todes_1857.txt 309 702 35 Die-Boten-des-Todes 1857
## Die-Brautschau_1857.txt 98 165 5 Die-Brautschau 1857
## Die-Bremer-Stadtmusikanten_1857.txt 528 1424 50 Die-Bremer-Stadtmusikanten 1857
## Die-Brosamen-auf-dem-Tisch_1857.txt 111 194 9 Die-Brosamen-auf-dem-Tisch 1857
## Die-drei-Brueder_1857.txt 309 728 21 Die-drei-Brueder 1857
## Die-drei-Faulen_1857.txt 124 254 6 Die-drei-Faulen 1857
## Die-drei-Federn_1857.txt 396 1104 44 Die-drei-Federn 1857
## Die-drei-Feldscherer_1857.txt 394 1114 47 Die-drei-Feldscherer 1857
## Die-drei-Glueckskinder_1857.txt 449 1064 36 Die-drei-Glueckskinder 1857
## Die-drei-gruenen-Zweige_1857.txt 409 1018 37 Die-drei-gruenen-Zweige 1857
## Die-drei-Handwerksburschen_1857.txt 438 1311 58 Die-drei-Handwerksburschen 1857
## Die-drei-Maennlein-im-Walde_1857.txt 642 2200 85 Die-drei-Maennlein-im-Walde 1857
## Die-drei-Schlangenblaetter_1857.txt 561 1560 53 Die-drei-Schlangenblaetter 1857
## Die-drei-Spinnerinnen_1857.txt 379 977 35 Die-drei-Spinnerinnen 1857
## Die-drei-Sprachen_1857.txt 405 1014 39 Die-drei-Sprachen 1857
## Die-Eule_1857.txt 438 895 30 Die-Eule 1857
## Die-faule-Spinnerin_1857.txt 305 827 29 Die-faule-Spinnerin 1857
## Die-Gaensehirtin-am-Brunnen_1857.txt 1142 4376 194 Die-Gaensehirtin-am-Brunnen 1857
## Die-Gaensemagd_1857.txt 678 2295 72 Die-Gaensemagd 1857
## Die-Geschenke-des-kleinen-Volkes_1857.txt 428 975 30 Die-Geschenke-des-kleinen-Volkes 1857
## Die-goldene-Gans_1857.txt 543 1706 54 Die-goldene-Gans 1857
## Die-Goldkinder_1857.txt 611 2183 81 Die-Goldkinder 1857
## Die-hagere-Liese_1857.txt 237 515 17 Die-hagere-Liese 1857
## Die-Haselruthe_1857.txt 135 217 7 Die-Haselruthe 1857
## Die-himmlische-Hochzeit_1857.txt 235 566 20 Die-himmlische-Hochzeit 1857
## Die-Hochzeit-der-Frau-Fuechsin_1857.txt 303 910 47 Die-Hochzeit-der-Frau-Fuechsin 1857
## Die-klare-Sonne-bringts-an-den-Tag_1857.txt 265 585 21 Die-klare-Sonne-bringts-an-den-Tag 1857
## Die-kluge-Bauerntochter_1857.txt 457 1519 50 Die-kluge-Bauerntochter 1857
## Die-kluge-Else_1857.txt 408 1564 62 Die-kluge-Else 1857
## Die-klugen-Leute_1857.txt 545 1752 75 Die-klugen-Leute 1857
## Die-Kornaehre_1857.txt 146 246 9 Die-Kornaehre 1857
## Die-Krystallkugel_1857.txt 458 1144 40 Die-Krystallkugel 1857
## Die-Lebenszeit_1857.txt 272 674 38 Die-Lebenszeit 1857
## Die-Nelke_1857.txt 558 1963 64 Die-Nelke 1857
## Die-Nixe-im-Teich_1857.txt 744 2335 99 Die-Nixe-im-Teich 1857
## Die-Rabe_1857.txt 603 2427 91 Die-Rabe 1857
## Die-Rose_1857.txt 104 183 7 Die-Rose 1857
## Die-Ruebe_1857.txt 471 1181 39 Die-Ruebe 1857
## Die-Schlickerlinge_1857.txt 121 191 8 Die-Schlickerlinge 1857
## Die-schoene-Katrinelje-und-Pif-Paf-Poltrie_1857.txt 116 500 45 Die-schoene-Katrinelje-und-Pif-Paf-Poltrie 1857
## Die-Scholle_1857.txt 145 265 14 Die-Scholle 1857
## Die-sechs-Diener_1857.txt 821 2911 103 Die-sechs-Diener 1857
## Die-sechs-Schwaene_1857.txt 652 2143 82 Die-sechs-Schwaene 1857
## Die-sieben-Raben_1857.txt 388 961 37 Die-sieben-Raben 1857
## Die-sieben-Schwaben_1857.txt 475 1126 41 Die-sieben-Schwaben 1857
## Die-Sternthaler_1857.txt 166 341 11 Die-Sternthaler 1857
## Die-ungleichen-Kinder-Evas_1857.txt 322 786 29 Die-ungleichen-Kinder-Evas 1857
## Die-vier-kunstreichen-Brueder_1857.txt 581 1739 63 Die-vier-kunstreichen-Brueder 1857
## Die-wahre-Braut_1857.txt 853 2838 116 Die-wahre-Braut 1857
## Die-Wassernixe_1857.txt 151 305 10 Die-Wassernixe 1857
## Die-weisse-Schlange_1857.txt 638 1705 60 Die-weisse-Schlange 1857
## Die-weisse-und-die-schwarze-Braut_1857.txt 518 1609 61 Die-weisse-und-die-schwarze-Braut 1857
## Die-Wichtelmaenner_1857.txt 459 1201 42 Die-Wichtelmaenner 1857
## Die-zertanzten-Schuhe_1857.txt 551 1549 57 Die-zertanzten-Schuhe 1857
## Die-zwei-Brueder_1857.txt 1533 9166 318 Die-zwei-Brueder 1857
## Die-zwoelf-Apostel_1857.txt 219 423 18 Die-zwoelf-Apostel 1857
## Die-zwoelf-Brueder_1857.txt 660 2178 77 Die-zwoelf-Brueder 1857
## Die-zwoelf-faulen-Knechte_1857.txt 466 1144 54 Die-zwoelf-faulen-Knechte 1857
## Die-zwoelf-Jaeger_1857.txt 394 1197 46 Die-zwoelf-Jaeger 1857
## Doctor-Allwissend_1857.txt 307 836 35 Doctor-Allwissend 1857
## Dornroeschen_1857.txt 511 1423 44 Dornroeschen 1857
## Einaeuglein,-Zweiaeuglein-und-Dreiaeuglein_1857.txt 694 2724 96 Einaeuglein,-Zweiaeuglein-und-Dreiaeuglein 1857
## Fitchers-Vogel_1857.txt 503 1434 57 Fitchers-Vogel 1857
## Frau-Holle_1857.txt 412 1269 42 Frau-Holle 1857
## Frau-Trude_1857.txt 166 349 17 Frau-Trude 1857
## Fundevogel_1857.txt 306 1059 42 Fundevogel 1857
## Gottes-Speise_1857.txt 148 256 8 Gottes-Speise 1857
## Haensel-und-Grethel_1857.txt 835 3231 127 Haensel-und-Grethel 1857
## Haesichenbraut_1857.txt 160 488 32 Haesichenbraut 1857
## Hans-heirathet_1857.txt 241 502 18 Hans-heirathet 1857
## Hans-im-Glueck_1857.txt 715 2309 93 Hans-im-Glueck 1857
## Hans-mein-Igel_1857.txt 552 2218 67 Hans-mein-Igel 1857
## Herr-Korbes_1857.txt 175 412 19 Herr-Korbes 1857
## Jorinde-und-Joringel_1857.txt 391 1017 44 Jorinde-und-Joringel 1857
## Jungfrau-Maleen_1857.txt 637 2204 100 Jungfrau-Maleen 1857
## Katze-und-Maus-in-Gesellschaft_1857.txt 414 1112 49 Katze-und-Maus-in-Gesellschaft 1857
## Koenig-Drosselbart_1857.txt 625 1883 81 Koenig-Drosselbart 1857
## Laeuschen-und-Floehchen_1857.txt 113 465 31 Laeuschen-und-Floehchen 1857
## Lieb-und-Leid-theilen_1857.txt 202 427 16 Lieb-und-Leid-theilen 1857
## Maehrchen-von-einem,-der-auszog-das-Fuerchten-zu-lernen_1857.txt 966 4284 189 Maehrchen-von-einem,-der-auszog-das-Fuerchten-zu-lernen 1857
## Maerchen-von-der-Unke_1857.txt 236 528 21 Maerchen-von-der-Unke 1857
## Marienkind_1857.txt 616 2049 67 Marienkind 1857
## Meister-Pfriem_1857.txt 592 1562 77 Meister-Pfriem 1857
## Muttergottesglaeschen_1857.txt 100 164 6 Muttergottesglaeschen 1857
## Raethselmaerchen_1857.txt 87 139 4 Raethselmaerchen 1857
## Rapunzel_1857.txt 518 1577 52 Rapunzel 1857
## Rohrdommel-und-Wiedehopf_1857.txt 139 273 17 Rohrdommel-und-Wiedehopf 1857
## Rothkaeppchen_1857.txt 499 1537 61 Rothkaeppchen 1857
## Rumpelstilzchen_1857.txt 404 1211 39 Rumpelstilzchen 1857
## Schneeweisschen-und-Rosenroth_1857.txt 877 2683 95 Schneeweisschen-und-Rosenroth 1857
## Sechse-kommen-durch-die-ganze-Welt_1857.txt 671 2274 78 Sechse-kommen-durch-die-ganze-Welt 1857
## Simeliberg_1857.txt 338 889 31 Simeliberg 1857
## Sneewittchen_1857.txt 814 3436 142 Sneewittchen 1857
## Spindel,-Weberschiffchen-und-Nadel_1857.txt 430 1149 43 Spindel,-Weberschiffchen-und-Nadel 1857
## Strohhalm,-Kohle-und-Bohne_1857.txt 269 566 22 Strohhalm,-Kohle-und-Bohne 1857
## Tischchen-deck-dich,-Goldesel,-und-Knueppel-aus-dem-Sack_1857.txt 945 4290 183 Tischchen-deck-dich,-Goldesel,-und-Knueppel-aus-dem-Sack 1857
## Vom-klugen-Schneiderlein_1857.txt 470 1301 50 Vom-klugen-Schneiderlein 1857
## Von-dem-Maeuschen,-Voegelchen-und-der-Bratwurst_1857.txt 297 648 22 Von-dem-Maeuschen,-Voegelchen-und-der-Bratwurst 1857
## Von-dem-Tode-des-Huehnchens_1857.txt 243 713 26 Von-dem-Tode-des-Huehnchens 1857
Um schnell den längsten und kürzesten Text zu finden, können wir einfach wieder die Funktionen max() und min() anwenden (s. Kapitel 5.5), oder den Dataframe absteigend nach der Spalte Types bzw. Tokens sortieren:
## Text Types Tokens Sentences Titel Jahr
## 150 Die-zwei-Brueder_1857.txt 1533 9166 318 Die-zwei-Brueder 1857
## 4 Bruder-Lustig_1857.txt 950 4792 232 Bruder-Lustig 1857
## 94 Die-beiden-Wanderer_1857.txt 1198 4487 176 Die-beiden-Wanderer 1857
## 113 Die-Gaensehirtin-am-Brunnen_1857.txt 1142 4376 194 Die-Gaensehirtin-am-Brunnen 1857
## 191 Tischchen-deck-dich,-Goldesel,-und-Knueppel-aus-dem-Sack_1857.txt 945 4290 183 Tischchen-deck-dich,-Goldesel,-und-Knueppel-aus-dem-Sack 1857
## 175 Maehrchen-von-einem,-der-auszog-das-Fuerchten-zu-lernen_1857.txt 966 4284 189 Maehrchen-von-einem,-der-auszog-das-Fuerchten-zu-lernen 1857
## 82 Der-Trommler_1857.txt 1029 4223 180 Der-Trommler 1857
## 21 Das-tapfere-Schneiderlein_1857.txt 998 3607 146 Das-tapfere-Schneiderlein 1857
## 36 Der-Eisenhans_1857.txt 885 3502 149 Der-Eisenhans 1857
## 188 Sneewittchen_1857.txt 814 3436 142 Sneewittchen 1857
## 67 Der-Meisterdieb_1857.txt 975 3430 129 Der-Meisterdieb 1857
## 81 Der-treue-Johannes_1857.txt 861 3383 114 Der-treue-Johannes 1857
## 61 Der-junge-Riese_1857.txt 790 3381 123 Der-junge-Riese 1857
## 52 Der-goldene-Vogel_1857.txt 862 3285 126 Der-goldene-Vogel 1857
## 163 Haensel-und-Grethel_1857.txt 835 3231 127 Haensel-und-Grethel 1857
## 79 Der-Teufel-mit-den-drei-goldenen-Haaren_1857.txt 730 2958 129 Der-Teufel-mit-den-drei-goldenen-Haaren 1857
## 137 Die-sechs-Diener_1857.txt 821 2911 103 Die-sechs-Diener 1857
## 39 Der-Frieder-und-das-Catherlieschen_1857.txt 749 2898 130 Der-Frieder-und-das-Catherlieschen 1857
## 65 Der-Krautesel_1857.txt 833 2893 104 Der-Krautesel 1857
## 76 Der-starke-Hans_1857.txt 803 2879 99 Der-starke-Hans 1857
## 3 Aschenputtel_1857.txt 703 2851 105 Aschenputtel 1857
## 144 Die-wahre-Braut_1857.txt 853 2838 116 Die-wahre-Braut 1857
## 157 Einaeuglein,-Zweiaeuglein-und-Dreiaeuglein_1857.txt 694 2724 96 Einaeuglein,-Zweiaeuglein-und-Dreiaeuglein 1857
## 185 Schneeweisschen-und-Rosenroth_1857.txt 877 2683 95 Schneeweisschen-und-Rosenroth 1857
## 5 Bruederchen-und-Schwesterchen_1857.txt 691 2670 100 Bruederchen-und-Schwesterchen 1857
## 63 Der-Koenig-vom-goldenen-Berg_1857.txt 739 2635 94 Der-Koenig-vom-goldenen-Berg 1857
## 26 Daumesdick_1857.txt 743 2575 107 Daumesdick 1857
## 20 Das-singende-springende-Loeweneckerchen_1857.txt 694 2560 73 Das-singende-springende-Loeweneckerchen 1857
## 16 Das-Maedchen-ohne-Haende_1857.txt 686 2548 99 Das-Maedchen-ohne-Haende 1857
## 71 Der-Ranzen,-das-Huetlein-und-das-Hoernlein_1857.txt 773 2506 85 Der-Ranzen,-das-Huetlein-und-das-Hoernlein 1857
## 46 Der-gelernte-Jaeger_1857.txt 670 2443 80 Der-gelernte-Jaeger 1857
## 50 Der-glaeserne-Sarg_1857.txt 957 2443 89 Der-glaeserne-Sarg 1857
## 24 Das-Wasser-des-Lebens_1857.txt 663 2440 84 Das-Wasser-des-Lebens 1857
## 131 Die-Rabe_1857.txt 603 2427 91 Die-Rabe 1857
## 1 Allerleirauh_1857.txt 617 2361 86 Allerleirauh 1857
## 130 Die-Nixe-im-Teich_1857.txt 744 2335 99 Die-Nixe-im-Teich 1857
## 166 Hans-im-Glueck_1857.txt 715 2309 93 Hans-im-Glueck 1857
## 37 Der-Eisenofen_1857.txt 595 2307 86 Der-Eisenofen 1857
## 114 Die-Gaensemagd_1857.txt 678 2295 72 Die-Gaensemagd 1857
## 64 Der-Koenigssohn-der-sich-vor-nichts-fuerchtet_1857.txt 685 2279 86 Der-Koenigssohn-der-sich-vor-nichts-fuerchtet 1857
## 186 Sechse-kommen-durch-die-ganze-Welt_1857.txt 671 2274 78 Sechse-kommen-durch-die-ganze-Welt 1857
## 167 Hans-mein-Igel_1857.txt 552 2218 67 Hans-mein-Igel 1857
## 170 Jungfrau-Maleen_1857.txt 637 2204 100 Jungfrau-Maleen 1857
## 107 Die-drei-Maennlein-im-Walde_1857.txt 642 2200 85 Die-drei-Maennlein-im-Walde 1857
## 117 Die-Goldkinder_1857.txt 611 2183 81 Die-Goldkinder 1857
## 33 Der-Baerenhaeuter_1857.txt 698 2179 81 Der-Baerenhaeuter 1857
## 152 Die-zwoelf-Brueder_1857.txt 660 2178 77 Die-zwoelf-Brueder 1857
## 138 Die-sechs-Schwaene_1857.txt 652 2143 82 Die-sechs-Schwaene 1857
## 45 Der-Geist-im-Glas_1857.txt 605 2054 75 Der-Geist-im-Glas 1857
## 177 Marienkind_1857.txt 616 2049 67 Marienkind 1857
## 23 Das-Waldhaus_1857.txt 606 2014 72 Das-Waldhaus 1857
## 60 Der-Jude-im-Dorn_1857.txt 647 1995 76 Der-Jude-im-Dorn 1857
## 129 Die-Nelke_1857.txt 558 1963 64 Die-Nelke 1857
## 7 Das-blaue-Licht_1857.txt 605 1929 78 Das-blaue-Licht 1857
## 54 Der-gute-Handel_1857.txt 565 1926 70 Der-gute-Handel 1857
## 172 Koenig-Drosselbart_1857.txt 625 1883 81 Koenig-Drosselbart 1857
## 32 Der-Arme-und-der-Reiche_1857.txt 607 1802 62 Der-Arme-und-der-Reiche 1857
## 25 Daumerlings-Wanderschaft_1857.txt 610 1767 74 Daumerlings-Wanderschaft 1857
## 125 Die-klugen-Leute_1857.txt 545 1752 75 Die-klugen-Leute 1857
## 143 Die-vier-kunstreichen-Brueder_1857.txt 581 1739 63 Die-vier-kunstreichen-Brueder 1857
## 116 Die-goldene-Gans_1857.txt 543 1706 54 Die-goldene-Gans 1857
## 146 Die-weisse-Schlange_1857.txt 638 1705 60 Die-weisse-Schlange 1857
## 28 Der-alte-Hildebrand_1857.txt 385 1620 43 Der-alte-Hildebrand 1857
## 66 Der-Liebste-Roland_1857.txt 530 1614 57 Der-Liebste-Roland 1857
## 147 Die-weisse-und-die-schwarze-Braut_1857.txt 518 1609 61 Die-weisse-und-die-schwarze-Braut 1857
## 53 Der-Grabhuegel_1857.txt 597 1608 71 Der-Grabhuegel 1857
## 77 Der-Stiefel-von-Bueffelleder_1857.txt 546 1598 67 Der-Stiefel-von-Bueffelleder 1857
## 181 Rapunzel_1857.txt 518 1577 52 Rapunzel 1857
## 124 Die-kluge-Else_1857.txt 408 1564 62 Die-kluge-Else 1857
## 178 Meister-Pfriem_1857.txt 592 1562 77 Meister-Pfriem 1857
## 40 Der-Froschkoenig-oder-der-eiserne-Heinrich_1857.txt 497 1560 52 Der-Froschkoenig-oder-der-eiserne-Heinrich 1857
## 108 Die-drei-Schlangenblaetter_1857.txt 561 1560 53 Die-drei-Schlangenblaetter 1857
## 149 Die-zertanzten-Schuhe_1857.txt 551 1549 57 Die-zertanzten-Schuhe 1857
## 183 Rothkaeppchen_1857.txt 499 1537 61 Rothkaeppchen 1857
## 56 Der-Hase-und-der-Igel_1857.txt 518 1523 68 Der-Hase-und-der-Igel 1857
## 123 Die-kluge-Bauerntochter_1857.txt 457 1519 50 Die-kluge-Bauerntochter 1857
## 31 Der-arme-Muellerbursch-und-das-Kaetzchen_1857.txt 506 1501 52 Der-arme-Muellerbursch-und-das-Kaetzchen 1857
## 70 Der-Raeuberbraeutigam_1857.txt 488 1488 63 Der-Raeuberbraeutigam 1857
## 158 Fitchers-Vogel_1857.txt 503 1434 57 Fitchers-Vogel 1857
## 98 Die-Bremer-Stadtmusikanten_1857.txt 528 1424 50 Die-Bremer-Stadtmusikanten 1857
## 156 Dornroeschen_1857.txt 511 1423 44 Dornroeschen 1857
## 10 Das-Eselein_1857.txt 508 1420 58 Das-Eselein 1857
## 91 Des-Teufels-russiger-Bruder_1857.txt 448 1392 47 Des-Teufels-russiger-Bruder 1857
## 59 Der-Hund-und-der-Sperling_1857.txt 384 1379 62 Der-Hund-und-der-Sperling 1857
## 80 Der-Teufel-und-seine-Grossmutter_1857.txt 477 1376 56 Der-Teufel-und-seine-Grossmutter 1857
## 30 Der-arme-Junge-im-Grab_1857.txt 500 1347 58 Der-arme-Junge-im-Grab 1857
## 49 Der-Gevatter-Tod_1857.txt 477 1336 52 Der-Gevatter-Tod 1857
## 47 Der-gescheidte-Hans_1857.txt 163 1318 166 Der-gescheidte-Hans 1857
## 106 Die-drei-Handwerksburschen_1857.txt 438 1311 58 Die-drei-Handwerksburschen 1857
## 18 Das-Meerhaeschen_1857.txt 447 1307 57 Das-Meerhaeschen 1857
## 192 Vom-klugen-Schneiderlein_1857.txt 470 1301 50 Vom-klugen-Schneiderlein 1857
## 57 Der-heilige-Joseph-im-Walde_1857.txt 408 1282 58 Der-heilige-Joseph-im-Walde 1857
## 88 Der-Zaunkoenig_1857.txt 478 1280 70 Der-Zaunkoenig 1857
## 159 Frau-Holle_1857.txt 412 1269 42 Frau-Holle 1857
## 19 Das-Raethsel_1857.txt 466 1236 48 Das-Raethsel 1857
## 87 Der-wunderliche-Spielmann_1857.txt 374 1218 49 Der-wunderliche-Spielmann 1857
## 184 Rumpelstilzchen_1857.txt 404 1211 39 Rumpelstilzchen 1857
## 148 Die-Wichtelmaenner_1857.txt 459 1201 42 Die-Wichtelmaenner 1857
## 154 Die-zwoelf-Jaeger_1857.txt 394 1197 46 Die-zwoelf-Jaeger 1857
## 86 Der-Wolf-und-die-sieben-jungen-Geislein_1857.txt 403 1191 50 Der-Wolf-und-die-sieben-jungen-Geislein 1857
## 133 Die-Ruebe_1857.txt 471 1181 39 Die-Ruebe 1857
## 189 Spindel,-Weberschiffchen-und-Nadel_1857.txt 430 1149 43 Spindel,-Weberschiffchen-und-Nadel 1857
## 127 Die-Krystallkugel_1857.txt 458 1144 40 Die-Krystallkugel 1857
## 153 Die-zwoelf-faulen-Knechte_1857.txt 466 1144 54 Die-zwoelf-faulen-Knechte 1857
## 140 Die-sieben-Schwaben_1857.txt 475 1126 41 Die-sieben-Schwaben 1857
## 103 Die-drei-Feldscherer_1857.txt 394 1114 47 Die-drei-Feldscherer 1857
## 171 Katze-und-Maus-in-Gesellschaft_1857.txt 414 1112 49 Katze-und-Maus-in-Gesellschaft 1857
## 102 Die-drei-Federn_1857.txt 396 1104 44 Die-drei-Federn 1857
## 13 Das-kluge-Grethel_1857.txt 368 1083 43 Das-kluge-Grethel 1857
## 38 Der-faule-Heinz_1857.txt 462 1077 39 Der-faule-Heinz 1857
## 104 Die-drei-Glueckskinder_1857.txt 449 1064 36 Die-drei-Glueckskinder 1857
## 161 Fundevogel_1857.txt 306 1059 42 Fundevogel 1857
## 89 Der-Zaunkoenig-und-der-Baer_1857.txt 384 1026 36 Der-Zaunkoenig-und-der-Baer 1857
## 75 Der-Sperling-und-seine-vier-Kinder_1857.txt 440 1018 39 Der-Sperling-und-seine-vier-Kinder 1857
## 105 Die-drei-gruenen-Zweige_1857.txt 409 1018 37 Die-drei-gruenen-Zweige 1857
## 169 Jorinde-und-Joringel_1857.txt 391 1017 44 Jorinde-und-Joringel 1857
## 110 Die-drei-Sprachen_1857.txt 405 1014 39 Die-drei-Sprachen 1857
## 93 Die-Alte-im-Wald_1857.txt 361 1001 32 Die-Alte-im-Wald 1857
## 109 Die-drei-Spinnerinnen_1857.txt 379 977 35 Die-drei-Spinnerinnen 1857
## 115 Die-Geschenke-des-kleinen-Volkes_1857.txt 428 975 30 Die-Geschenke-des-kleinen-Volkes 1857
## 139 Die-sieben-Raben_1857.txt 388 961 37 Die-sieben-Raben 1857
## 29 Der-alte-Sultan_1857.txt 400 938 34 Der-alte-Sultan 1857
## 121 Die-Hochzeit-der-Frau-Fuechsin_1857.txt 303 910 47 Die-Hochzeit-der-Frau-Fuechsin 1857
## 111 Die-Eule_1857.txt 438 895 30 Die-Eule 1857
## 187 Simeliberg_1857.txt 338 889 31 Simeliberg 1857
## 15 Das-Lumpengesindel_1857.txt 369 859 28 Das-Lumpengesindel 1857
## 95 Die-Bienenkoenigin_1857.txt 318 845 27 Die-Bienenkoenigin 1857
## 73 Der-Schneider-im-Himmel_1857.txt 353 843 32 Der-Schneider-im-Himmel 1857
## 72 Der-Riese-und-der-Schneider_1857.txt 324 838 45 Der-Riese-und-der-Schneider 1857
## 155 Doctor-Allwissend_1857.txt 307 836 35 Doctor-Allwissend 1857
## 112 Die-faule-Spinnerin_1857.txt 305 827 29 Die-faule-Spinnerin 1857
## 84 Der-Wolf-und-der-Fuchs_1857.txt 291 812 31 Der-Wolf-und-der-Fuchs 1857
## 74 Der-singende-Knochen_1857.txt 355 799 28 Der-singende-Knochen 1857
## 68 Der-Mond_1857.txt 364 790 35 Der-Mond 1857
## 142 Die-ungleichen-Kinder-Evas_1857.txt 322 786 29 Die-ungleichen-Kinder-Evas 1857
## 100 Die-drei-Brueder_1857.txt 309 728 21 Die-drei-Brueder 1857
## 194 Von-dem-Tode-des-Huehnchens_1857.txt 243 713 26 Von-dem-Tode-des-Huehnchens 1857
## 96 Die-Boten-des-Todes_1857.txt 309 702 35 Die-Boten-des-Todes 1857
## 58 Der-Herr-Gevatter_1857.txt 250 685 34 Der-Herr-Gevatter 1857
## 128 Die-Lebenszeit_1857.txt 272 674 38 Die-Lebenszeit 1857
## 193 Von-dem-Maeuschen,-Voegelchen-und-der-Bratwurst_1857.txt 297 648 22 Von-dem-Maeuschen,-Voegelchen-und-der-Bratwurst 1857
## 14 Das-Laemmchen-und-Fischchen_1857.txt 262 637 21 Das-Laemmchen-und-Fischchen 1857
## 122 Die-klare-Sonne-bringts-an-den-Tag_1857.txt 265 585 21 Die-klare-Sonne-bringts-an-den-Tag 1857
## 120 Die-himmlische-Hochzeit_1857.txt 235 566 20 Die-himmlische-Hochzeit 1857
## 190 Strohhalm,-Kohle-und-Bohne_1857.txt 269 566 22 Strohhalm,-Kohle-und-Bohne 1857
## 12 Das-junggegluehte-Maennlein_1857.txt 288 561 19 Das-junggegluehte-Maennlein 1857
## 41 Der-Fuchs-und-das-Pferd_1857.txt 236 537 17 Der-Fuchs-und-das-Pferd 1857
## 176 Maerchen-von-der-Unke_1857.txt 236 528 21 Maerchen-von-der-Unke 1857
## 2 Armuth-und-Demuth-fuehren-zum-Himmel_1857.txt 252 517 22 Armuth-und-Demuth-fuehren-zum-Himmel 1857
## 118 Die-hagere-Liese_1857.txt 237 515 17 Die-hagere-Liese 1857
## 165 Hans-heirathet_1857.txt 241 502 18 Hans-heirathet 1857
## 135 Die-schoene-Katrinelje-und-Pif-Paf-Poltrie_1857.txt 116 500 45 Die-schoene-Katrinelje-und-Pif-Paf-Poltrie 1857
## 164 Haesichenbraut_1857.txt 160 488 32 Haesichenbraut 1857
## 85 Der-Wolf-und-der-Mensch_1857.txt 206 483 19 Der-Wolf-und-der-Mensch 1857
## 173 Laeuschen-und-Floehchen_1857.txt 113 465 31 Laeuschen-und-Floehchen 1857
## 174 Lieb-und-Leid-theilen_1857.txt 202 427 16 Lieb-und-Leid-theilen 1857
## 151 Die-zwoelf-Apostel_1857.txt 219 423 18 Die-zwoelf-Apostel 1857
## 168 Herr-Korbes_1857.txt 175 412 19 Herr-Korbes 1857
## 34 Der-Bauer-und-der-Teufel_1857.txt 192 405 19 Der-Bauer-und-der-Teufel 1857
## 42 Der-Fuchs-und-die-Frau-Gevatterin_1857.txt 207 399 13 Der-Fuchs-und-die-Frau-Gevatterin 1857
## 35 Der-Dreschflegel-vom-Himmel_1857.txt 199 394 11 Der-Dreschflegel-vom-Himmel 1857
## 90 Des-Herrn-und-des-Teufels-Gethier_1857.txt 206 369 15 Des-Herrn-und-des-Teufels-Gethier 1857
## 11 Das-Hirtenbueblein_1857.txt 179 367 13 Das-Hirtenbueblein 1857
## 48 Der-gestohlene-Heller_1857.txt 179 359 13 Der-gestohlene-Heller 1857
## 6 Das-alte-Muetterchen_1857.txt 188 355 12 Das-alte-Muetterchen 1857
## 17 Das-Maerchen-vom-Schlauraffenland_1857.txt 192 349 13 Das-Maerchen-vom-Schlauraffenland 1857
## 160 Frau-Trude_1857.txt 166 349 17 Frau-Trude 1857
## 141 Die-Sternthaler_1857.txt 166 341 11 Die-Sternthaler 1857
## 44 Der-Fuchs-und-die-Katze_1857.txt 173 331 21 Der-Fuchs-und-die-Katze 1857
## 145 Die-Wassernixe_1857.txt 151 305 10 Die-Wassernixe 1857
## 62 Der-kluge-Knecht_1857.txt 146 295 15 Der-kluge-Knecht 1857
## 69 Der-Nagel_1857.txt 146 291 15 Der-Nagel 1857
## 55 Der-Hahnenbalken_1857.txt 155 288 13 Der-Hahnenbalken 1857
## 22 Das-Todtenhemdchen_1857.txt 145 285 7 Das-Todtenhemdchen 1857
## 182 Rohrdommel-und-Wiedehopf_1857.txt 139 273 17 Rohrdommel-und-Wiedehopf 1857
## 78 Der-suesse-Brei_1857.txt 132 266 6 Der-suesse-Brei 1857
## 136 Die-Scholle_1857.txt 145 265 14 Die-Scholle 1857
## 27 Der-alte-Grossvater-und-der-Enkel_1857.txt 152 262 11 Der-alte-Grossvater-und-der-Enkel 1857
## 43 Der-Fuchs-und-die-Gaense_1857.txt 141 258 11 Der-Fuchs-und-die-Gaense 1857
## 162 Gottes-Speise_1857.txt 148 256 8 Gottes-Speise 1857
## 101 Die-drei-Faulen_1857.txt 124 254 6 Die-drei-Faulen 1857
## 126 Die-Kornaehre_1857.txt 146 246 9 Die-Kornaehre 1857
## 119 Die-Haselruthe_1857.txt 135 217 7 Die-Haselruthe 1857
## 8 Das-Dietmarsische-Luegenmaerchen_1857.txt 132 211 9 Das-Dietmarsische-Luegenmaerchen 1857
## 99 Die-Brosamen-auf-dem-Tisch_1857.txt 111 194 9 Die-Brosamen-auf-dem-Tisch 1857
## 51 Der-goldene-Schluessel_1857.txt 120 192 9 Der-goldene-Schluessel 1857
## 134 Die-Schlickerlinge_1857.txt 121 191 8 Die-Schlickerlinge 1857
## 132 Die-Rose_1857.txt 104 183 7 Die-Rose 1857
## 92 Die-alte-Bettelfrau_1857.txt 102 167 8 Die-alte-Bettelfrau 1857
## 83 Der-undankbare-Sohn_1857.txt 104 166 5 Der-undankbare-Sohn 1857
## 97 Die-Brautschau_1857.txt 98 165 5 Die-Brautschau 1857
## 179 Muttergottesglaeschen_1857.txt 100 164 6 Muttergottesglaeschen 1857
## 180 Raethselmaerchen_1857.txt 87 139 4 Raethselmaerchen 1857
## 9 Das-eigensinnige-Kind_1857.txt 83 136 4 Das-eigensinnige-Kind 1857
Um uns einen visuellen Überblick zu verschaffen, können wir die Tokenanzahl auch visualisieren. Dazu verwenden wir das Paket ggplot2, welches spezialisierte Funktionen zur Datenvisualisierung bietet.
Grafiken erstellen mit ggplot2
Die Syntax zur Erstellung von Grafiken mit ggplot2 folgt einem eigenen Design-Prinzip, das nach dem Titel des zugrundeliegenden Werks “Grammar of Graphics” genannt wird. Diese “Grammatik” legt fest, wie die einzelnen Bestandteile einer Grafik beschrieben und konstruiert werden können. Konkret bedeutet das, dass ggplot2-Grafiken immer als mehrere, übereinanderliegende Ebenen erstellt werden, die mit einem +-Operator verknüpft werden: Die erste Ebene ist dabei immer ein Datenobjekt, das mit der Funktion ggplot() erzeugt wird. Welche Ebenen es genau gibt könnt ihr in den ggplot2-Dokumentationsseiten nachlesen. Einen leicht verständlichen Einstieg in die Grammar of Graphics und ggplot2 bietet dieser Artikel von Dipanjan Sarkar. Einen tieferen Einblick bietet dieser Artikel von Hadley Wickham.
Bei der Erstellung von Visualisierungen für quanteda-Objekte ist wichtig zu beachten, dass die Funktion ggplot() als Input einen Dataframe erwartet. Das Objekt token_info ist bereits ein Dataframe und kann direkt als Argument der ggplot()-Funktion übergeben werden. Als zusätzliches Argument geben wir mithilfe der Funktion aes() ein Mapping (“Ästhetik”) für das Datenobjekt an, welches die Dimensionen der Daten bestimmt. Es legt fest, welche Spalte des Dataframes auf welcher Achse des Koordinatensystems abgebildet werden soll. Alle weiteren Ebenen werden dem Datenobjekt mithilfe des +-Operators angefügt: Zunächst ein geometrisches Objekt (“geom”), das bestimmt, dass die Datenpunkte als Punkte dargestellt werden sollen, nicht etwa als Säulen oder Linien (also als geom_point() statt geom_col() oder geom_line()). Die restlichen drei Ebenen dienen dazu, das Aussehen des Plots anzupassen: Es wird mit theme_bw() eine Designvorlage gewählt und anschließend mit theme() angepasst. ggtitle() bestimmt den Titel des Plots, und labs() legt die Beschriftung der Achsen fest.
library(ggplot2)
summary_plot <- ggplot(data=token_info, mapping=aes(x=Titel, y=Tokens)) +
geom_point(alpha=0.6) +
theme_bw() +
theme(axis.text.x = element_text(angle = 90, vjust = 0.5, hjust=1, size=4)) +
ggtitle("Anzahl Tokens / Text") +
labs(x="Text", y="Anzahl Tokens")Die Grafiken, die mit ggplot2 erstellt werden, sind praktischerweise kompatibel mit dem Paket plotly, das darauf spezialisiert ist, ggplot-Grafiken in interaktive Grafiken umzuwandeln:
Die Funktion layout() passt die Position der x-Achsen-Beschriftung auf der interaktiven Grafik an.
Verständnisfragen:
- Bewertet das Diagramm: Welche Informationen könnt ihr daraus entnehmen?
- Eignet sich das Diagramm, um einen Überblick über die Verteilung der Tokens in unserem Korpus zu verschaffen?
- Wie könnte man mithilfe regulärer Ausdrücke die Titel in der Spalte
Titeldes Dataframestoken_infoso kürzen, dass die Artikel Der, Die und Das am Anfang der Titel entfernt werden? Erstellt anschließend den Plot erneut, diesmal mit den gekürzten Titeln.
Wenn man im Plot-Fenster den Cursor über die Visualisierung bewegt, werden die x- und y-Werte zu den einzelnen Datenpunkten automatisch angezeigt. Der Grafik können wir entnehmen, dass das Märchen “Die zwei Brüder” mit einer Tokenanzahl von 9265 das mit Abstand längste Märchen ist, und dass die meisten Märchen weniger als 2500 Tokens zu haben scheinen. Das ist eine nützliche Information, aber die Visualisierung ist sehr unübersichtlich, da die Titel auf der x-Achse erst durch Markieren der einzelnen Datenpunkte sichtbar werden. Die manuelle Durchsicht der Häufigkeiten mithilfe dieses Diagramms ist deswegen unpraktisch. Am besten wäre es, wenn wir auf einen Blick sehen könnten, wie stark die Tokenanzahl der Texte in unserem Korpus variiert, ob es besonders lange Texte gibt, und wie viele Tokens die meisten Texte haben. So einen zusammenfassenden Blick auf unser Korpus bietet ein Boxplot:

Verständnisfragen:
- Beschreibt die Verteilung der Tokens in unserem Korpus anhand des Boxplots. Ist die Länge bzw. Tokenanzahl der Texte im Korpus sehr unterschiedlich, oder haben viele Texte eine ähnliche Länge und nur wenige Texte sind außergewöhnlich kurz oder lang? Falls ihr nicht wisst, was ein Boxplot ist, ist an dieser Stelle Eigenrecherche gefordert, in diesem Fall hilft sogar Wikipedia weiter.
Als nächstes schauen wir uns an, welche Tokens denn in unserem Korpus am häufigsten vorkommen. Dazu erstellen wir zunächst eine Document-Feature-Matrix (DFM), und zwar zunächst aus dem tokens-Objekt mit Stoppwörtern, und lassen uns anschließend mit der quanteda-Funktion topfeatures() einen Überblick über die häufigsten Tokens ausgeben:
maerchen_dfm <- dfm(maerchen_toks)
# schneller Überblick über die 100 häufigsten Tokens
topfeatures(maerchen_dfm, n=100)## und der die er sie das den in es ich so da zu nicht ein aber sich dem war als auf du mit sprach ihm dass an wie ihr ihn was eine einen hatte ist von wieder mir kam wenn ging sagte auch aus sein könig noch nun wollte will vor nach antwortete seine dich mich dir sah im einem nichts wo nur hat ward wir wäre einmal waren rief frau zum um bei habe mein bis doch dann über alles am des mann alle konnte fort ließ vater haus für haben alte sollte hast nahm damit andern seinen mädchen
## 11984 6734 5988 4977 4666 3632 2980 2955 2898 2746 2575 2559 2525 2488 2386 2316 2188 2144 2104 1962 1943 1938 1750 1684 1552 1418 1385 1297 1250 1147 1089 1082 1056 1024 1006 939 893 808 798 790 790 788 778 745 734 706 693 692 685 679 613 581 530 528 511 497 479 477 471 468 449 446 439 438 438 431 423 418 416 415 409 403 400 400 399 397 396 394 391 383 379 377 376 372 367 363 362 361 352 346 343 342 338 337 332 328 324 323 322 317
Diese Übersicht zeigt, dass die häufigsten Wörter in unserem Korpus anscheinend Funktionswörter wie “und”, “der” oder “es” sind. Warum ist das so? Handelt es sich dabei um eine besondere Eigenschaft von Märchentexten, von unserem konkreten Korpus oder gar nur von einigen wenigen Texten in unserem Korpus, in denen zufällig besonders viele Funktionswörter vorkommen?
Die Funktion textstat_frequency() liefert detaillierte Informationen zu den 100 häufigsten Tokens als Dataframe. Neben dem Vorkommen der einzelnen Tokens gibt der Dataframe auch an, in wie vielen Texten jedes Token vorkommt:
library("quanteda.textstats")
# Detaillierte Informationen zu den 100 häufigsten Tokens
tstat_freq <- textstat_frequency(maerchen_dfm, n = 100)
tstat_freq## feature frequency rank docfreq group
## 1 und 11984 1 193 all
## 2 der 6734 2 193 all
## 3 die 5988 3 190 all
## 4 er 4977 4 182 all
## 5 sie 4666 5 184 all
## 6 das 3632 6 191 all
## 7 den 2980 7 185 all
## 8 in 2955 8 193 all
## 9 es 2898 9 186 all
## 10 ich 2746 10 176 all
## 11 so 2575 11 191 all
## 12 da 2559 12 185 all
## 13 zu 2525 13 184 all
## 14 nicht 2488 14 181 all
## 15 ein 2386 15 188 all
## 16 aber 2316 16 183 all
## 17 sich 2188 17 182 all
## 18 dem 2144 18 181 all
## 19 war 2104 19 182 all
## 20 als 1962 20 177 all
## 21 auf 1943 21 183 all
## 22 du 1938 22 166 all
## 23 mit 1750 23 181 all
## 24 sprach 1684 24 176 all
## 25 ihm 1552 25 174 all
## 26 dass 1418 26 176 all
## 27 an 1385 27 177 all
## 28 wie 1297 28 184 all
## 29 ihr 1250 29 153 all
## 30 ihn 1147 30 150 all
## 31 was 1089 31 168 all
## 32 eine 1082 32 176 all
## 33 einen 1056 33 168 all
## 34 hatte 1024 34 164 all
## 35 ist 1006 35 166 all
## 36 von 939 36 164 all
## 37 wieder 893 37 153 all
## 38 mir 808 38 143 all
## 39 kam 798 39 169 all
## 40 wenn 790 40 161 all
## 41 ging 790 40 156 all
## 42 sagte 788 42 153 all
## 43 auch 778 43 167 all
## 44 aus 745 44 150 all
## 45 sein 734 45 155 all
## 46 könig 706 46 66 all
## 47 noch 693 47 153 all
## 48 nun 692 48 150 all
## 49 wollte 685 49 162 all
## 50 will 679 50 149 all
## 51 vor 613 51 145 all
## 52 nach 581 52 156 all
## 53 antwortete 530 53 135 all
## 54 seine 528 54 143 all
## 55 dich 511 55 125 all
## 56 mich 497 56 119 all
## 57 dir 479 57 126 all
## 58 sah 477 58 144 all
## 59 im 471 59 149 all
## 60 einem 468 60 139 all
## 61 nichts 449 61 135 all
## 62 wo 446 62 140 all
## 63 nur 439 63 132 all
## 64 hat 438 64 125 all
## 65 ward 438 64 131 all
## 66 wir 431 66 108 all
## 67 wäre 423 67 128 all
## 68 einmal 418 68 159 all
## 69 waren 416 69 139 all
## 70 rief 415 70 121 all
## 71 frau 409 71 100 all
## 72 zum 403 72 132 all
## 73 um 400 73 138 all
## 74 bei 400 73 132 all
## 75 habe 399 75 119 all
## 76 mein 397 76 116 all
## 77 bis 396 77 144 all
## 78 doch 394 78 139 all
## 79 dann 391 79 135 all
## 80 über 383 80 134 all
## 81 alles 379 81 128 all
## 82 am 377 82 132 all
## 83 des 376 83 126 all
## 84 mann 372 84 98 all
## 85 alle 367 85 136 all
## 86 konnte 363 86 134 all
## 87 fort 362 87 133 all
## 88 ließ 361 88 132 all
## 89 vater 352 89 67 all
## 90 haus 346 90 112 all
## 91 für 343 91 114 all
## 92 haben 342 92 113 all
## 93 alte 338 93 84 all
## 94 sollte 337 94 117 all
## 95 hast 332 95 113 all
## 96 nahm 328 96 111 all
## 97 damit 324 97 132 all
## 98 andern 323 98 122 all
## 99 seinen 322 99 115 all
## 100 mädchen 317 100 58 all
Dem Dataframe können wir entnehmen, dass die Funktionswörter in allen oder fast allen der 193 Märchen in unserem Märchenkorpus vorkommen. Das ist kein Zufall: Tatsächlich kommen in natürlichsprachigen Texten in der Regel einige wenige Wörter sehr häufig vor und viele Wörter sehr selten. Wenn wir die häufigsten Wörter des tstat_freq-Dataframes nach ihrer Häufigkeit ordnen und visualisieren, wird dieser Umstand direkt deutlich:
# Top Features visualisieren
ggplot(tstat_freq, aes(x = reorder(feature, -frequency), y = frequency)) +
geom_point() +
theme(axis.text.x = element_text(angle = 90, vjust = 0.5, hjust=1, size=5)) +
labs(x = "Feature", y = "Frequency")
Die Funktion reorder(feature, -frequency) bewirkt, dass die Tokens nach Häufigkeit geordnet werden, sodass die Tokens, die am häufigsten vorkommen, auf der linken Seite der x-Achse angezeigt werden.
Verständnisfragen:
- Welche Informationen liefert die Funktion
textstat_frequency()? - Was wäre ein passender Titel für die Visualisierung?
- Wozu wird die Funktion
labs()verwendet? Was beschreibt diese Ebene? - Was passiert, wenn das - vor frequency in
reorder(feature, -frequency)entfernt wird?
Die hier am Beispiel unseres Märchenkorpus aufgezeigte Eigenschaft natürlichsprachlicher Texte lässt sich formal mit dem Zipf’schen Gesetz beschreiben, nach dem in einem Korpus von natürlichsprachlichen Äußerungen die Häufigkeit irgendeines Wortes umgekehrt proportional zu seinem Rang in der Häufigkeitstabelle ist. Oder, formell ausgedrückt:
Zipfsche Verteilungen sind dadurch charakterisiert, dass einige wenige Einheiten sehr häufig auftreten und extrem viele Einheiten äußerst selten. In einer Zipfschen Verteilung ist das zweithäufigste Element halb so häufig wie das häufigste, das dritthäufigste ein Drittel so häufig wie das häufigste usw. (Zipf 1949, S. 22ff.). Weist man Wörtern gemäß ihrer Häufigkeit einen Häufigkeitsrang r zu, so ergibt sich die Häufigkeit eines Wortes an Rang r wie folgt, wobei \(\alpha\) eine (im gegebenen Fall empirisch zu ermittelnde) Konstante ist, die ungefähr 1 beträgt:
Zipf’s Gesetz: \(f(r) = 1 / r^\alpha\)
Das heißt, die Auftretenswahrscheinlichkeit eines Wortes ist umgekehrt proportional zu seinem Häufigkeitsrang. (Engelberg 2015, S.210)
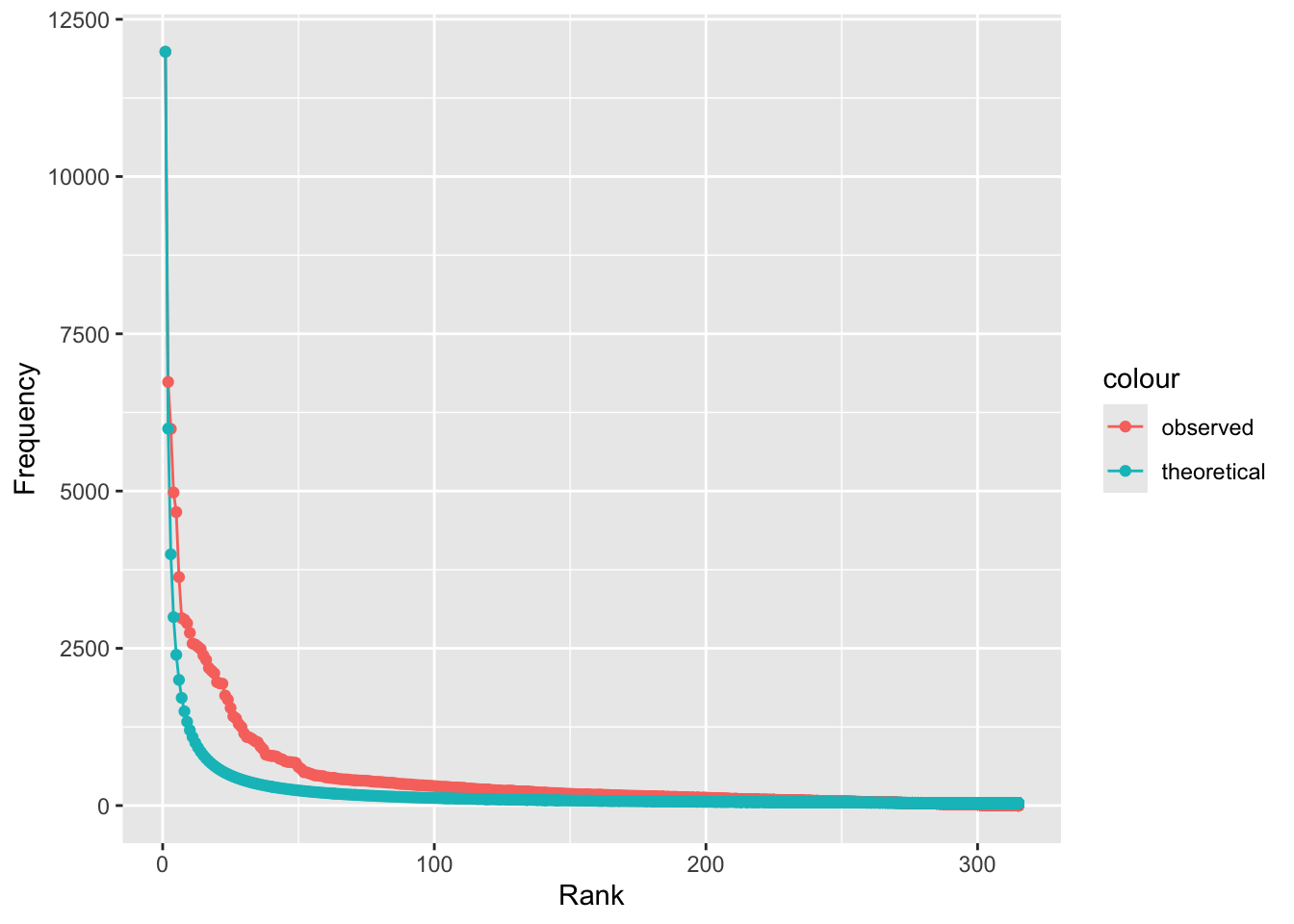
Dieser Umstand begründet auch die Motivation, Funktionswörter und andere erwartungsgemäß besonders häufig vorkommende Tokens während des Preprocessing zu entfernen. Die folgende Grafik vergleicht die Verteilung der Wörter in unserem Märchenkorpus (“observed”) mit einer idealtypischen oder theoretischen Verteilung nach dem Zipf’schen Gesetz (Zipf-Verteilung, “theoretical”):
# Diesen Code könnt ihr ignorieren
tstat_freq_alle <- textstat_frequency(maerchen_dfm, n = ncol(maerchen_dfm))
# Aber falls ihr den Code doch genauer verstehen wollt: Die Spalte rank wird hier zunächst transformiert, sodass Ränge konsekutiv sind und beim Vorkommen mehrerer gleicher Ränge trotzdem kontinuierlich weitergezählt wird. Das lässt sich leider seit Quanteda Version 3 nicht mehr mit der textstat_frequency()-Funktion einstellen, hier ist die Funktionsdokumentation veraltet
neuer_rang <- c(TRUE, diff(tstat_freq_alle$rank) != 0)
tstat_freq_alle$rank <- cumsum(neuer_rang)
zipfs_freq = ifelse(tstat_freq_alle$rank == 1, tstat_freq_alle$frequency, dplyr::first(tstat_freq_alle$frequency) / tstat_freq_alle$rank ^ 1)
ggplot(tstat_freq_alle, aes(x = rank, y = frequency, group="all")) +
geom_line(aes(color = "observed")) +
geom_line(aes(y = zipfs_freq, color = "theoretical")) +
geom_point(aes(color = "observed")) +
geom_point(aes(y = zipfs_freq, color = "theoretical")) +
labs(x = "Rank", y = "Frequency")
Wenn wir einen Eindruck davon gewinnen möchten, welche inhaltlich möglicherweise aufschlussreichen Wörter in unserem Korpus vorkommen, dann ist es also sinnvoll, beim Preprocessing die besonders häufig vorkommenden Wörter mithilfe einer Stoppwortliste zu entfernen. Im Abschnitt 8.2 haben wir bereits für diesen Zweck ein Objekt maerchen_toks_rm erstellt. Dieses Objekt enthält unsere Märchentexte als Tokens ohne Stoppwörter und Satzzeichen; zusätzlich wurden alle Wörter in Kleinbuchstaben umgewandelt. Durch das Umwandeln der Wörter in Kleinbuchstaben können wir später einfacher nach bestimmten Tokens suchen, die sowohl in Groß- als auch in Kleinschreibung vorkommen. Dazu in Kürze mehr.
Zunächst verschaffen wir uns noch einmal einen Überblick über die besonders häufigen Tokens in unserem Korpus, aber diesmal ohne die Stoppwörter und Satzzeichen:
## sprach dass kam ging sagte könig antwortete sah ward wäre rief frau mann konnte fort ließ vater haus alte hast nahm mädchen mehr schon wohl stand ganz zwei endlich drei wald dachte hätte fragte lange ja hinaus darauf tag hinein gab mußte hans wasser herr augen mutter gut morgen immer kamen setzte kind heraus gehen wer zeit kommen ach nacht machte schloss hand sehen ab essen königstochter zusammen jäger leben darin legte welt kopf bruder tochter fing saß zog sprang junge geben voll baum hörte gott großen herum tat davon königin sollst weiss gleich türe große bald geld gold herz
## 1684 1418 798 790 788 706 530 477 438 423 415 409 372 363 362 361 352 346 338 332 328 317 315 313 310 306 296 296 293 291 289 287 287 286 269 260 260 259 257 255 247 244 237 235 235 234 234 234 228 228 226 224 223 223 222 220 214 208 207 205 205 203 203 202 199 197 194 194 190 188 182 181 178 177 177 176 175 173 171 171 171 170 170 169 168 166 166 164 162 162 161 160 158 157 156 155 154 153 152 150
## feature frequency rank docfreq group
## 1 sprach 1684 1 176 all
## 2 dass 1418 2 176 all
## 3 kam 798 3 169 all
## 4 ging 790 4 156 all
## 5 sagte 788 5 153 all
## 6 könig 706 6 66 all
## 7 antwortete 530 7 135 all
## 8 sah 477 8 144 all
## 9 ward 438 9 131 all
## 10 wäre 423 10 128 all
## 11 rief 415 11 121 all
## 12 frau 409 12 100 all
## 13 mann 372 13 98 all
## 14 konnte 363 14 134 all
## 15 fort 362 15 133 all
## 16 ließ 361 16 132 all
## 17 vater 352 17 67 all
## 18 haus 346 18 112 all
## 19 alte 338 19 84 all
## 20 hast 332 20 113 all
## 21 nahm 328 21 111 all
## 22 mädchen 317 22 58 all
## 23 mehr 315 23 128 all
## 24 schon 313 24 121 all
## 25 wohl 310 25 125 all
## 26 stand 306 26 119 all
## 27 ganz 296 27 119 all
## 28 zwei 296 27 99 all
## 29 endlich 293 29 129 all
## 30 drei 291 30 96 all
## 31 wald 289 31 86 all
## 32 dachte 287 32 112 all
## 33 hätte 287 32 106 all
## 34 fragte 286 34 110 all
## 35 lange 269 35 117 all
## 36 ja 260 36 91 all
## 37 hinaus 260 36 113 all
## 38 darauf 259 38 112 all
## 39 tag 257 39 102 all
## 40 hinein 255 40 113 all
## 41 gab 247 41 99 all
## 42 mußte 244 42 118 all
## 43 hans 237 43 14 all
## 44 wasser 235 44 77 all
## 45 herr 235 44 70 all
## 46 augen 234 46 93 all
## 47 mutter 234 46 69 all
## 48 gut 234 46 104 all
## 49 morgen 228 49 94 all
## 50 immer 228 49 97 all
## 51 kamen 226 51 100 all
## 52 setzte 224 52 97 all
## 53 kind 223 53 77 all
## 54 heraus 223 53 92 all
## 55 gehen 222 55 102 all
## 56 wer 220 56 104 all
## 57 zeit 214 57 113 all
## 58 kommen 208 58 103 all
## 59 ach 207 59 93 all
## 60 nacht 205 60 90 all
## 61 machte 205 60 99 all
## 62 schloss 203 62 61 all
## 63 hand 203 62 89 all
## 64 sehen 202 64 92 all
## 65 ab 199 65 90 all
## 66 essen 197 66 79 all
## 67 königstochter 194 67 43 all
## 68 zusammen 194 67 97 all
## 69 jäger 190 69 21 all
## 70 leben 188 70 84 all
## 71 darin 182 71 82 all
## 72 legte 181 72 87 all
## 73 welt 178 73 85 all
## 74 kopf 177 74 83 all
## 75 bruder 177 74 34 all
## 76 tochter 176 76 57 all
## 77 fing 175 77 89 all
## 78 saß 173 78 88 all
## 79 zog 171 79 85 all
## 80 sprang 171 79 85 all
## 81 junge 171 79 53 all
## 82 geben 170 82 88 all
## 83 voll 170 82 97 all
## 84 baum 169 84 55 all
## 85 hörte 168 85 92 all
## 86 gott 166 86 79 all
## 87 großen 166 86 92 all
## 88 herum 164 88 89 all
## 89 tat 162 89 90 all
## 90 davon 162 89 90 all
## 91 königin 161 91 30 all
## 92 sollst 160 92 79 all
## 93 weiss 158 93 82 all
## 94 gleich 157 94 93 all
## 95 türe 156 95 65 all
## 96 große 155 96 75 all
## 97 bald 154 97 81 all
## 98 geld 153 98 57 all
## 99 gold 152 99 57 all
## 100 herz 150 100 66 all
Die häufigsten Tokens können auch in einer Wortwolke visualisiert werden, und zwar mit der Quanteda-Funktion textplot_wordcloud():
library(quanteda.textplots)
set.seed(100)
textplot_wordcloud(maerchen_dfm_rm, # wir verwenden die dfm ohne Stoppwörter und Satzzeichen
min_count = 6,
random_order = FALSE,
rotation = .25,
)
Verständnisfragen:
- Was visualisiert die Wortwolke?
- Vergleicht eure Wortwolke mit der Wortwolke eurer Nachbar:in. Unterscheiden sich eure Ergebnisse?
- Führt den Code zur Erstellung der Wortwolke jetzt noch einmal aus, allerdings ohne die Zeile set.seed(100). Unterscheiden sich eure Wortwolken jetzt? Warum ist das so? Ruft die Dokumentationsseite zur Funktion set.seed() mit
?set.seedauf.
Eines der häufigsten Wörter ist “dass”. Aber Stoppwörter haben wir doch eigentlich entfernt! Inspiziert die Stoppwortliste, welche die Funktion tokens_remove() verwendet: Warum wurde das Wort “dass” nicht entfernt? Lest euch nochmal den Abschnitt “Stoppwörter entfernen” im Kapitel “Textanalyse II” an. Wie können wir das Problem lösen?
Die wohl einfachste Lösung wäre, das Token, das in der Stoppwortliste nicht enthalten ist, zusätzlich manuell zu entfernen:
maerchen_toks_rm <- tokens_remove(maerchen_toks_rm, pattern = "dass")
maerchen_dfm_rm <- dfm(maerchen_toks_rm)
set.seed(100)
textplot_wordcloud(maerchen_dfm_rm,
min_count = 6,
random_order = FALSE,
rotation = .25,
)
So ist die Wortwolke deutlich informativer. Diese Wortwolke können wir bereits zur explorativen Annäherung an unsere Fragestellung nutzen. Wir interessieren uns dafür, wie verschiedene Märchencharaktere beschrieben werden. Zunächst müssen wir also überhaupt erstmal Charaktere, die in unseren Märchen vorkommen, identifizieren. Unter den 100 häufigsten Tokens finden sich nach der Wortwolke zu urteilen scheinbar auch einige Charaktere: Unter den Wörtern, die im Zentrum der Wortwolke am größten dargestellt sind, befinden sich die Tokens “könig”, “frau”, “vater”, “mann”, “mädchen”, und etwas kleiner “hans”, “kind”, “königstochter”, “herr”. Erste Vermutungen, die wir anhand der Wortwolke gemacht haben, können wir anschließend mithilfe des bereits erstellten Dataframes tstat_freq_rm überprüfen: Haben wir vielleicht einfach nur das Token “prinzessin” übersehen?
## [1] FALSE
Und in wie vielen Texten kommt das Token “könig” vor?
## [1] 191
Eine genauere Inspektion des Dataframes tstat_freq_rm zeigt außerdem, dass die Tokens “königstochter”, aber auch “tochter” und “mädchen” zwar in der Wortwolke recht unscheinbar erscheinen, aber dass sie dennoch in je ca. 50 der Märchen vorkommen. Die Tokens “königssohn” und “sohn” tauchen dagegen unter den 100 häufigsten Tokens überhaupt nicht auf, ebenso die Wörter Prinz und Prinzessin. Das verwundert vielleicht im ersten Moment, wir werden aber später noch einmal darauf zurückkommen.
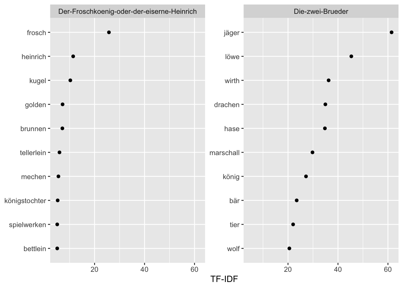
Nun haben wir aber ja anfangs bemerkt, dass die Märchen sehr verschiedene Längen haben. Der Dataframe tstat_freq_rm, den wir mithilfe der Funktion textstat_frequency() erstellt haben, verrät zwar, dass die Tokens in je etwa fünfzig Märchen vorkommen, allerdings wissen wir nicht, wie sie über diese Märchen verteilt sind. Es könnte ja sein, dass ein Märchen, beispielsweise das längste, besonders häufig ein bestimmtes Token enthält. Im Folgenden werden wir also die Häufigkeit der Tokens je Text vergleichen, und überprüfen, ob ein Token vielleicht ganz besonders häufig in dem längsten Text vorkommt, aber kaum in den anderen. Als Beispiel nehmen wir alle Tokens, welche die Zeichenkette “tochter” enthalten. Um das Vorkommen der Tokens in verschiedenen Texten zu vergleichen, müssen wir der Funktion textstat_frequency() ein zusätzliches Argument übergeben: groups = Titel legt fest, dass die berechneten Häufigkeiten für jeden Text einzeln bestimmt werden sollen. Titel ist dabei der Vektor mit den Titeln der Texte, den wir ganz am Anfang mit der readtext()-Funktion aus dem Dateinamen eingelesen haben (siehe dazu auch das Kapitel “Textanalyse I”: da haben wir das Konzept der Metadaten auf Dokumentenebene, oder “docvars”, etwas ausführlicher besprochen). Mit dem Ausdruck grepl("tochter", tstat_freq_text$feature) werden anschließend nur die Zeilen aus dem Dataframe tstat_freq_grouped ausgewählt, die die Zeichenkette “tochter” oder “töchter” in der Spalte feature enthalten.
library(quanteda.textstats)
tstat_freq_grouped <- textstat_frequency(maerchen_dfm_rm, groups = Titel)
tstat_subset <- tstat_freq_grouped[grepl("t(o|ö)chter", tstat_freq_grouped$feature), ]
tstat_subset## feature frequency rank docfreq group
## 35 tochter 4 29 1 Allerleirauh
## 39 königstochter 4 29 1 Allerleirauh
## 850 tochter 1 214 1 Aschenputtel
## 867 königstochter 1 214 1 Aschenputtel
## 931 töchterlein 1 214 1 Aschenputtel
## 944 töchter 1 214 1 Aschenputtel
## 987 stieftöchter 1 214 1 Aschenputtel
## 1001 stieftöchtern 1 214 1 Aschenputtel
## 1045 töchtern 1 214 1 Aschenputtel
## 1228 königstochter 5 57 1 Bruder-Lustig
## 1322 tochter 2 147 1 Bruder-Lustig
## 1946 tochter 5 28 1 Bruederchen-und-Schwesterchen
## 2572 königstochter 7 6 1 Das-blaue-Licht
## 2636 tochter 2 59 1 Das-blaue-Licht
## 3156 tochter 4 9 1 Das-Eselein
## 4660 tochter 1 165 1 Das-Maedchen-ohne-Haende
## 4868 müllerstochter 1 165 1 Das-Maedchen-ohne-Haende
## 5140 königstochter 10 1 1 Das-Meerhaeschen
## 5464 königstochter 5 7 1 Das-Raethsel
## 5492 tochter 2 32 1 Das-Raethsel
## 5818 tochter 5 27 1 Das-singende-springende-Loeweneckerchen
## 5828 königstochter 4 35 1 Das-singende-springende-Loeweneckerchen
## 6049 töchter 1 188 1 Das-singende-springende-Loeweneckerchen
## 6387 tochter 3 64 1 Das-tapfere-Schneiderlein
## 6587 königstochter 1 243 1 Das-tapfere-Schneiderlein
## 7347 tochter 1 141 1 Das-Waldhaus
## 7417 töchtern 1 141 1 Das-Waldhaus
## 7686 königstochter 4 31 1 Das-Wasser-des-Lebens
## 10211 königstochter 4 14 1 Der-arme-Muellerbursch-und-das-Kaetzchen
## 11033 töchter 4 19 1 Der-Baerenhaeuter
## 11781 königstochter 8 17 1 Der-Eisenhans
## 11821 tochter 4 56 1 Der-Eisenhans
## 12467 königstochter 7 10 1 Der-Eisenofen
## 12512 tochter 3 55 1 Der-Eisenofen
## 12538 müllerstochter 3 55 1 Der-Eisenofen
## 12629 schweinehirtentochter 2 94 1 Der-Eisenofen
## 12966 tochter 1 59 1 Der-faule-Heinz
## 13804 königstochter 8 2 1 Der-Froschkoenig-oder-der-eiserne-Heinrich
## 13979 töchter 1 110 1 Der-Froschkoenig-oder-der-eiserne-Heinrich
## 15055 königstochter 7 11 1 Der-gelernte-Jaeger
## 15071 tochter 4 26 1 Der-gelernte-Jaeger
## 15804 königstochter 2 27 1 Der-Gevatter-Tod
## 15868 tochter 1 78 1 Der-Gevatter-Tod
## 16268 tochter 1 145 1 Der-glaeserne-Sarg
## 17012 königstochter 3 64 1 Der-goldene-Vogel
## 17054 tochter 2 100 1 Der-goldene-Vogel
## 17714 königstochter 1 87 1 Der-Grabhuegel
## 18114 tochter 2 61 1 Der-gute-Handel
## 18118 königstochter 2 61 1 Der-gute-Handel
## 19045 tochter 2 46 1 Der-heilige-Joseph-im-Walde
## 19146 töchter 1 83 1 Der-heilige-Joseph-im-Walde
## 20977 königstochter 2 88 1 Der-Koenig-vom-goldenen-Berg
## 21618 königstochter 1 147 1 Der-Koenigssohn-der-sich-vor-nichts-fuerchtet
## 22528 herzenstöchterchen 1 186 1 Der-Krautesel
## 22658 stieftochter 3 24 1 Der-Liebste-Roland
## 22664 tochter 2 48 1 Der-Liebste-Roland
## 22786 töchter 1 99 1 Der-Liebste-Roland
## 23223 tochter 1 211 1 Der-Meisterdieb
## 24175 tochter 2 47 1 Der-Raeuberbraeutigam
## 24501 königstochter 3 39 1 Der-Ranzen,-das-Huetlein-und-das-Hoernlein
## 24531 tochter 2 71 1 Der-Ranzen,-das-Huetlein-und-das-Hoernlein
## 25530 tochter 2 20 1 Der-singende-Knochen
## 25607 töchterlein 1 49 1 Der-singende-Knochen
## 26282 königstochter 1 189 1 Der-starke-Hans
## 27201 tochter 7 17 1 Der-Teufel-mit-den-drei-goldenen-Haaren
## 27294 königstochter 2 101 1 Der-Teufel-mit-den-drei-goldenen-Haaren
## 28092 königstochter 9 9 1 Der-treue-Johannes
## 28775 königstochter 10 10 1 Der-Trommler
## 29025 tochter 1 246 1 Der-Trommler
## 31314 tochter 1 94 1 Des-Teufels-russiger-Bruder
## 31328 königstochter 1 94 1 Des-Teufels-russiger-Bruder
## 31672 königstochter 1 71 1 Die-Alte-im-Wald
## 32155 tochter 1 305 1 Die-beiden-Wanderer
## 32234 töchter 1 305 1 Die-beiden-Wanderer
## 32671 meistertochter 1 305 1 Die-beiden-Wanderer
## 32845 königstochter 2 28 1 Die-Bienenkoenigin
## 32927 töchtern 1 60 1 Die-Bienenkoenigin
## 35476 tochter 16 2 1 Die-drei-Maennlein-im-Walde
## 35616 stieftochter 2 71 1 Die-drei-Maennlein-im-Walde
## 35928 töchterchen 1 150 1 Die-drei-Maennlein-im-Walde
## 35999 tochter 2 45 1 Die-drei-Schlangenblaetter
## 36370 tochter 3 13 1 Die-drei-Spinnerinnen
## 37418 tochter 7 19 1 Die-Gaensehirtin-am-Brunnen
## 37449 töchterchen 5 31 1 Die-Gaensehirtin-am-Brunnen
## 37497 königstochter 3 93 1 Die-Gaensehirtin-am-Brunnen
## 37604 töchter 2 153 1 Die-Gaensehirtin-am-Brunnen
## 38325 königstochter 9 6 1 Die-Gaensemagd
## 38410 tochter 2 84 1 Die-Gaensemagd
## 39165 tochter 4 21 1 Die-goldene-Gans
## 39294 königstochter 1 132 1 Die-goldene-Gans
## 39346 töchter 1 132 1 Die-goldene-Gans
## 39584 tochter 3 41 1 Die-Goldkinder
## 40595 tochter 1 34 1 Die-klare-Sonne-bringts-an-den-Tag
## 40719 tochter 9 3 1 Die-kluge-Bauerntochter
## 41143 tochter 1 102 1 Die-kluge-Else
## 41791 königstochter 6 1 1 Die-Krystallkugel
## 42446 tochter 1 146 1 Die-Nelke
## 43313 königstochter 4 36 1 Die-Rabe
## 43689 töchterchen 1 160 1 Die-Rabe
## 44232 tochter 2 27 1 Die-schoene-Katrinelje-und-Pif-Paf-Poltrie
## 44372 tochter 10 6 1 Die-sechs-Diener
## 45071 tochter 2 61 1 Die-sechs-Schwaene
## 45536 töchterchen 2 23 1 Die-sieben-Raben
## 46430 königstochter 6 7 1 Die-vier-kunstreichen-Brueder
## 46539 tochter 1 111 1 Die-vier-kunstreichen-Brueder
## 47039 tochter 1 187 1 Die-wahre-Braut
## 47625 königstochter 5 8 1 Die-weisse-Schlange
## 48108 tochter 7 7 1 Die-weisse-und-die-schwarze-Braut
## 48120 stieftochter 5 16 1 Die-weisse-und-die-schwarze-Braut
## 48835 töchter 3 23 1 Die-zertanzten-Schuhe
## 48888 königstöchter 2 43 1 Die-zertanzten-Schuhe
## 49221 königstochter 18 17 1 Die-zwei-Brueder
## 49244 tochter 11 40 1 Die-zwei-Brueder
## 50686 königstochter 3 36 1 Die-zwoelf-Brueder
## 50881 töchterlein 1 144 1 Die-zwoelf-Brueder
## 51094 töchterchen 1 144 1 Die-zwoelf-Brueder
## 51488 königstochter 5 10 1 Die-zwoelf-Jaeger
## 51569 tochter 1 75 1 Die-zwoelf-Jaeger
## 51944 königstochter 5 5 1 Dornroeschen
## 52056 tochter 1 109 1 Dornroeschen
## 52578 töchter 1 191 1 Einaeuglein,-Zweiaeuglein-und-Dreiaeuglein
## 53016 töchter 1 107 1 Fitchers-Vogel
## 53253 tochter 2 38 1 Frau-Holle
## 53356 töchter 1 84 1 Frau-Holle
## 54758 bauerntochter 1 24 1 Hans-heirathet
## 55348 tochter 4 30 1 Hans-mein-Igel
## 55396 königstochter 2 71 1 Hans-mein-Igel
## 56282 tochter 1 164 1 Jungfrau-Maleen
## 56890 königstochter 5 12 1 Koenig-Drosselbart
## 56892 tochter 4 14 1 Koenig-Drosselbart
## 57623 tochter 3 85 1 Maehrchen-von-einem,-der-auszog-das-Fuerchten-zu-lernen
## 58555 töchterlein 2 63 1 Marienkind
## 60263 müllerstochter 6 9 1 Rumpelstilzchen
## 60278 tochter 3 24 1 Rumpelstilzchen
## 61245 königstochter 6 13 1 Sechse-kommen-durch-die-ganze-Welt
## 61262 tochter 4 29 1 Sechse-kommen-durch-die-ganze-Welt
## 62236 königstochter 1 233 1 Sneewittchen
## 62293 töchterlein 1 233 1 Sneewittchen
## 62693 tochter 1 71 1 Spindel,-Weberschiffchen-und-Nadel
Die Häufigkeit der Tochter-Tokens können wir anschließend visualisieren:
library(ggplot2)
library(plotly)
tochter_plot <- ggplot(tstat_subset, aes(x = group, y = feature, size = frequency)) +
geom_point(alpha=0.6) +
theme(axis.text.y = element_text(size=5),
axis.text.x = element_text(angle = 90, vjust = 0.5, hjust=1,
size=5)) +
labs(x = "Text", y = "Token", size = "Frequency")
ggplotly(tochter_plot) %>%
layout(xaxis = list(title = list(standoff = 5))) Die Visualisierung zeigt anhand der Größe der Datenpunkte an, wie häufig ein Token in dem entsprechenden Text vorkommt. Die Tochter-Tokens sind demnach über das gesamte Korpus verteilt, kommen aber in einigen Märchen deutlich häufiger vor als in anderen.
Ähnlich wie das Diagramm vom Anfang des Kapitels mit der der Tokenanzahl je Text ist diese Darstellung aber sehr unübersichtlich. Um auf einen Blick einschätzen zu können, ob die ausgewählten Tokens in allen Texten, in denen sie vorkommen, ungefähr gleich oft vorkommen, oder ob sie nur in einigen wenigen Texten sehr oft vorkommen, können wir die Boxplots für die einzelnen Tokens betrachten:
ggplot(tstat_subset, aes(x = feature, y = frequency)) +
geom_boxplot() +
coord_flip() +
labs(
x = "Token",
y = "Anzahl pro Text"
)
Aber auch diese Darstellung ist noch etwas unübersichtlich, weil es mehrere Boxplots für gleiche Tokens gibt. Wenn uns interessiert, wie oft Tochter-Tokens in unseren Texten vorkommen, dann ist es uns wahrscheinlich meistens egal, ob diese als “Töchter”, “Tochter”, “Töchtern” oder “Töchterchen” bezeichnet werden. Eine einfache Möglichkeit, ausgewählte Tokens zu gruppieren, sieht so aus:
tstat_subset$feature_group <- "andere" # müllerstochter, meistertochter, bauerntochter werden zusammengefasst
tstat_subset$feature_group[tstat_subset$feature %in% c("tochter", "töchter", "töchtern", "töchterlein", "töchterchen")] <- "tochter"
tstat_subset$feature_group[tstat_subset$feature %in% c("königstochter", "königstöchter")] <- "königstochter"
tstat_subset$feature_group[tstat_subset$feature %in% c("stieftochter", "stieftöchter", "stieftöchtern")] <- "stieftochter"Um jedes Token einer Gruppe zuzuordnen, haben wir eine neue Spalte feature_group erstellt. Wenn wir nun die Boxplots für die Gruppen anstatt der einzelnen Tokens betrachten wollen, muss beim Erstellen der Boxplots nur das Argument x = feature durch x = feature_group ersetzt werden:
ggplot(tstat_subset, aes(x = feature_group, y = frequency)) +
geom_boxplot() +
coord_flip() +
labs(
x = "Token",
y = "Anzahl pro Text"
)
Verständnisfragen:
- Beschreibt die Verteilung der verschiedenen Tochter-Tokens in unserem Korpus anhand der Boxplots. Welche der Tokens kommen in wenigen Texten sehr oft vor und in vielen nur ein- oder zweimal? Gibt es Tokens, die in allen Texten, in denen sie vorkommen, ungefähr gleich oft vorkommen? Falls ihr nicht wisst, was ein Boxplot ist, und dies bei der letzten Verständnisfrage noch nicht nachgeschaut habt, ist an dieser Stelle Eigenrecherche gefordert, in diesem Fall hilft sogar Wikipedia weiter, oder eines der unter “Ressourcen” verlinkten Lehrbücher zur deskriptiven Statistik.
Das manuelle Gruppieren ist natürlich bei vielen verschiedenen Tokens beschwerlich. In der Sitzung zum Preprocessing haben wir aber bereits die Lemmatisierung als Methode kennengelernt, mit der Wörter in einem Korpus automatisch auf ihre Grundform zurückgeführt werden können. Was ändert sich, wenn wir die Lemmata verwenden? Im folgenden Abschnitt untersuchen wir, wie sich die absoluten Worthäufigkeiten verändern, wenn wir das Korpus lemmatisieren.
8.3.2 Absolute Häufigkeiten und Lemmata
Die Suche nach allen Tochter-Tokens mithilfe des regulären Ausdrucks “t(o|ö)chter” hat verschiedene Zeichenketten mit “tochter” oder “töchter” geliefert, darunter auch Flexionsformen der jeweiligen Wörter (z.B. “töchtern”). Wenn wir Worthäufigkeiten vergleichen wollen, ist das unpraktisch: In jedem Schritt müssen wir verschiedene Flexionsformen berücksichtigen und zusammenzählen. Wir lemmatisieren deswegen im Folgenden das Märchenkorpus und betrachten die Worthäufigkeiten danach erneut. Dazu verwenden wir den Code aus Abschnitt 7.7 im Kapitel “Textanalyse II”.
# Code aus Abschnitt 7.7
library(udpipe)
# Deutsches Sprachmodell ins Arbeitsverzeichnis herunterladen und laden
ud_model <- udpipe_download_model("german")
ud_model <- udpipe_load_model(ud_model)
# Tokens-Objekt ohne Stoppwörter lemmatisieren und bereinigen
maerchen_txt <- sapply(maerchen_toks_raw, FUN=function(x) paste(x, collapse = "\n"))
maerchen_annotated <- udpipe_annotate(ud_model, maerchen_txt, tagger="default", parser="none", doc_id = maerchen_toks_raw$Titel, tokenizer = "vertical", trace=TRUE)# Code aus Abschnitt 7.7
maerchen_df <- as.data.frame(maerchen_annotated)
maerchen_cleaned_df <- maerchen_df[!is.na(maerchen_df$lemma), ]
# "Quick and dirty" Methode: bei mehreren möglichen Varianten immer die letzte Variante wählen
maerchen_cleaned_df$lemma <- gsub("\\w+\\|(\\|\\w+)?", "", maerchen_cleaned_df$lemma)
# Dataframe umformen, sodass jede Zeile einem Dokument entspricht, das nur aus den Lemmata besteht
maerchen_split <- split(maerchen_cleaned_df$lemma, maerchen_cleaned_df$doc_id)
# Dataframe in Quanteda Tokens-Objekt umwandeln
maerchen_lemmata <- tokens(maerchen_split, remove_punct = TRUE) Jetzt wiederholen wir das Preprocessing aus Abschnitt 8.2 für das lemmatisierte Korpus:
# Code aus Abschnitt 8.2
library(quanteda)
# Token "dass" entfernen
maerchen_lemmata_rm <- maerchen_lemmata %>%
tokens_tolower() %>%
tokens_remove(pattern = stopwords("de")) %>%
tokens_remove(pattern = "dass")
# DFM erstellen
maerchen_dfm_lemmata <- dfm(maerchen_lemmata_rm)Mit dem Objekt maerchen_lemmata_rm können wir jetzt unsere beiden Visualisierungen erstellen und kopieren dazu den Code aus Abschnitt 8.3:
# Code aus Abschnitt 8.3
library(quanteda.textplots)
set.seed(100)
textplot_wordcloud(maerchen_dfm_lemmata,
min_count = 6,
random_order = FALSE,
rotation = .25,
)
Verständnisfragen:
- Vergleicht diese Wortwolke mit der Wortwolke aus Abschnitt 8.3. Wie kommt es, dass in der Wortwolke der Lemmata einige Verben größer abgebildet sind als in der Wortwolke der einfachen Tokens?
- Wie wirkt sich die Lemmatisierung auf die Rangliste der häufigsten Tokens in unserem Korpus aus?
Um einen genaueren Eindruck davon zu gewinnen, wie sich die Lemmatisierung auf die Rangliste der häufigsten Tokens in unserem Korpus auswirkt, können wir uns einfach wieder mithilfe der Funktion topfeatures() die häufigsten 100 Tokens anzeigen lassen:
## sprechen kommen gehen sagen sollen sehen könig lassen gut groß alt müssen geben antworten ganz stehen nehmen rufen schön ward mann tag frau kind haus vater tun setzen bringen fort wissen sitzen liegen herr wald mädchen fragen mehr finden schon denken wohl bleiben leben zwei endlich drei legen essen lieb ziehen bruder sprach klein hand auge ja hinaus darauf hinein hören laufen jung erst recht wasser tragen lange holen hans halten mutter nacht schloß baum morgen immer herz zeit lang heraus abend beide tür ach schlafen voll wer ab jahr jäger golden tochter fangen kopf gott königstochter zusammen fallen führen
## 1574 1552 1424 1100 969 901 782 672 662 620 619 591 586 535 523 521 499 490 455 438 430 428 417 399 395 385 378 368 359 350 349 344 336 331 327 323 321 316 314 314 312 310 309 306 298 293 291 290 289 283 272 269 267 265 264 260 260 260 259 255 253 251 251 250 248 242 241 240 240 237 235 234 234 231 230 228 228 227 226 224 223 216 209 208 207 206 203 202 200 200 199 198 198 197 197 194 194 194 184 184
## sprach kam ging sagte könig antwortete sah ward wäre rief frau mann konnte fort ließ vater haus alte hast nahm mädchen mehr schon wohl stand ganz zwei endlich drei wald dachte hätte fragte lange ja hinaus darauf tag hinein gab mußte hans wasser herr augen mutter gut morgen immer kamen setzte kind heraus gehen wer zeit kommen ach nacht machte schloss hand sehen ab essen königstochter zusammen jäger leben darin legte welt kopf bruder tochter fing saß zog sprang junge geben voll baum hörte gott großen herum tat davon königin sollst weiss gleich türe große bald geld gold herz schneider
## 1684 798 790 788 706 530 477 438 423 415 409 372 363 362 361 352 346 338 332 328 317 315 313 310 306 296 296 293 291 289 287 287 286 269 260 260 259 257 255 247 244 237 235 235 234 234 234 228 228 226 224 223 223 222 220 214 208 207 205 205 203 203 202 199 197 194 194 190 188 182 181 178 177 177 176 175 173 171 171 171 170 170 169 168 166 166 164 162 162 161 160 158 157 156 155 154 153 152 150 150
Zuletzt vergleichen wir, wie sich die Lemmatisierung auf die Anzahl der Tochter-Tokens ausgewirkt hat. Dazu kopieren wir den Code aus Abschnitt 8.3:
# Code aus Abschnitt 8.3
library(quanteda.textstats)
library(ggplot2)
library(plotly)
# Diese Zeile kommt neu hinzu: Nach dem Lemmatisieren müssen wir die Metadaten auf Dokumentenebene ("docvars") neu festlegen
docvars(maerchen_dfm_lemmata, "Titel") <- docnames(maerchen_dfm_lemmata)
# Weiter wie in Abschnitt 8.3
tstat_freq_lemmata <- textstat_frequency(maerchen_dfm_lemmata, groups = Titel)
tstat_subset_lemmata <- tstat_freq_lemmata[grepl("t(o|ö)chter", tstat_freq_lemmata$feature), ]
tochter_plot <- ggplot(tstat_subset_lemmata, aes(x = group, y = feature, size = frequency)) +
geom_point(alpha=0.6) +
theme(axis.text.y = element_text(size=5),
axis.text.x = element_text(angle = 90, vjust = 0.5, hjust=1, size=5)) +
labs(x = "Text", y = "Token")
ggplotly(tochter_plot) %>%
layout(xaxis = list(title = list(text = "Text", standoff = 5)))Der Abgleich dieses Diagramms mit dem Diagramm aus Abschnitt 8.3 ist jedoch nicht so einfach wie der Vergleich der Wortwolken. Etwas einfacher wird der Vergleich, wenn wir für die lemmatisierten Tokens wieder Boxplots erstellen:
ggplot(tstat_subset_lemmata, aes(x = feature, y = frequency)) +
geom_boxplot() +
coord_flip() +
labs(
x = "Token",
y = "Anzahl pro Text"
)
Vielleicht ist euch bereits aufgefallen, dass die Lemmatisierung nicht zu einer so übersichtlichen Gruppierung der Tokens geführt hat, wie die Gruppierung, die wir im letzten Abschnitt manuell vorgenommen haben. Insbesondere wurden Diminutive wie Töchterlein und einige Pluralformen nicht auf “Tochter” zurückgeführt.
Um die durch die Lemmatisierung herbeigeführten Veränderungen in den Worthäufigkeiten genauer zu betrachten, wäre es vorteilhaft, wenn wir die Anzahl der jeweiligen Tokens vor und nach der Lemmatisierung in einer einzigen Visualisierung nebeneinanderstellen könnten. Dazu können wir mithilfe der textstat_frequency()-Funktion zunächst die Anzahl der Tochter-Tokens vor und nach der Lemmatisierung bestimmen, und dann für das lemmatisierte und das nicht-lemmatisierte Korpus jeweils ein Balkendiagramm erstellen. Die Balkendiagramme werden mithilfe der ggplot2-Funktion facet_grid() nebeneinander angeordnet. Die Funktion facet_grid() erwartet, dass die Daten für beide Balkendiagramme in einem einzigen Dataframe enthalten sind, und dass es eine Spalte gibt, welche die Daten den beiden Balkendiagrammen zuordnet. Wir kombinieren deswegen zunächst die beiden Dataframes, die wir mithilfe der Funktion textstat_frequency() erstellt haben und fügen eine gemeinsame Spalte origin hinzu, welche zur Unterscheidung der lemmatisierten von den nichtlemmatisierten Daten dient.
library(quanteda.textstats)
# Informationen zu häufigsten Tokens vor und nach der Lemmatisierung abrufen
tstat_freq <- textstat_frequency(maerchen_dfm_rm)
tstat_tokens <- tstat_freq[grepl("t(o|ö)chter", tstat_freq$feature), ]
tstat_freq <- textstat_frequency(maerchen_dfm_lemmata)
tstat_lemmata <- tstat_freq[grepl("t(o|ö)chter", tstat_freq$feature), ]
# Spalte origin hinzufügen
tstat_tokens$origin <- "Raw tokens"
tstat_lemmata$origin <- "Lemmata"
# Dataframes kombinieren: die rbind()-Funktion kennt ihr bereits aus "R Basics II"
tstat_combined <- rbind(tstat_tokens, tstat_lemmata) library(ggplot2)
# Facettiertes Balkendiagramm erstellen
ggplot(tstat_combined, aes(x = feature, y = frequency)) +
geom_col(position = "dodge2") +
labs(x = NULL, y = "Frequency", fill = "Feature") +
guides(fill = FALSE) +
coord_flip() +
facet_grid(~ origin)
Verständnisfragen:
- Was macht die Ebene
facet_grid(~ origin)? Recherchiert in den ggplot2-Dokumentationsseiten und zieht dieses Lehrbuch zurate. - Was bewirkt die Ebene
coord_flip()? - Wie wirkt sich das Lemmatisieren auf die Tochter-Tokens aus?
8.3.3 Relative Häufigkeiten
Wir haben bisher gesehen, dass sich die Worthäufigkeiten unterscheiden, je nachdem, welche Preprocessingentscheidungen getroffen wurden: das Entfernen der Stoppwörter und Satzzeichen hat die Aufmerksamkeit auf die am häufigsten vorkommenden Wörter gelenkt, die keine Funktionswörter sind. Die Lemmatisierung hat die Gesamtanzahl der Tokens weiter reduziert, indem verschiedene Flexionsformen zu einem Wortstamm zusammengefasst wurden. Mit unserem tochter_plot haben wir danach versucht einzuschätzen, was diese Häufigkeiten bedeuten: Wenn “königstochter” fast 200 Mal in unserem Märchenkorpus vorkommt, bedeutet das etwa, dass in fast jedem Märchen eine Königstochter vorkommt? Oder gibt es vielleicht nur wenige Märchen, in denen immer wieder eine Königstochter erwähnt wird?
Unsem tochter_plot konnten wir entnehmen, dass “königstochter” in fast 50 verschiedenen Märchen vorkommt: in manchen Märchen nur ein oder zweimal, und in anderen Märchen zehn oder sogar 18 Mal. Aus unserem Plot können wir aber nicht ablesen, was diese Unterschiede bedeuten: “königstochter” kommt im Märchen “Der Forschkönig” 13 Mal vor, und in “Die zwei Brüder” 18 Mal. Im Vergleich mit anderen Märchen erscheint das viel, aber bedeuten diese Zahlen wirklich dasselbe, wenn ein Märchen nur etwa 1500 Token lang ist, und das andere 9000? Um Worthäufigkeiten vergleich zu können, brauchen wir also anstelle der absoluten Häufigkeiten ein Maß, das die verschiedenen Textlängen berücksichtigt.
Eine simple Lösung wäre es, einfach alle Worthäufigkeiten durch die Länge der Märchen zu teilen, also die relativen Häufigkeiten zu betrachten. Das geht ganz einfach mit der Funktion dfm_weight(scheme="prop"):
library(quanteda)
library(quanteda.textstats)
library(ggplot2)
library(plotly)
maerchen_dfm_weighted <- maerchen_dfm_lemmata %>%
dfm_weight(scheme="prop")
tstat_freq_grouped <- textstat_frequency(maerchen_dfm_weighted, groups = Titel)
tstat_subset <- tstat_freq_grouped[grepl("t(o|ö)chter", tstat_freq_grouped$feature), ]
tochter_plot <- ggplot(tstat_subset, aes(x = group, y = feature, size = frequency)) +
geom_point(alpha=0.6) +
theme(axis.text.y = element_text(size=5),
axis.text.x = element_text(angle = 90, vjust = 0.5, hjust=1,
size=5)) +
labs(x = "Text", y = "Token", size = "Frequency")
ggplotly(tochter_plot) %>%
layout(xaxis = list(title = list(standoff = 5))) Verständnisfragen:
- Was hat sich verändert? Vergleicht die Märchen Froschkönig und die zwei Brüder!
- Welche anderen Möglichkeiten gibt es, die Länge der Märchen zu berücksichtigen? Ruft die Dokumentationsseiten zur Funktion
dfm_weight()mit?dfm_weightauf.
Im Vergleich mit dem Plot für die absoluten Häufigkeiten sticht das Märchen “Die zwei Brüder” nicht hervor, wenn die relativen Häufigkeiten verwendet werden. Der Punkt bei “königstochter” für “Die zwei Brüder” ist jetzt sogar etwas kleiner als der Punkt für “Der Froschkönig”. Kleine Punkte in unserem Plot sind also durch das Einbeziehen der Textlängen scheinbar etwas größer geworden, und große Punkte kleiner. Warum ist das so? Unserer Beobachtung können wir nachgehen, indem wir direkt die Häufigkeiten für das Token “königstochter” für die beiden Märchen “Der Froschkönig” und “Die zwei Brüder” vergleichen:
docvars(maerchen_lemmata_rm, "Titel") <- docnames(maerchen_lemmata_rm)
subset_dfm_lemmata <- maerchen_lemmata_rm %>%
tokens_subset(Titel %in% c("Der-Froschkoenig-oder-der-eiserne-Heinrich", "Die-zwei-Brueder")) %>%
dfm()
subset_dfm_lemmata[, "königstochter"]## Document-feature matrix of: 2 documents, 1 feature (0.00% sparse) and 1 docvar.
## features
## docs königstochter
## Der-Froschkoenig-oder-der-eiserne-Heinrich 8
## Die-zwei-Brueder 18
subset_dfm_weighted <- dfm_weight(subset_dfm_lemmata, scheme="prop")
subset_dfm_weighted[, "königstochter"]## Document-feature matrix of: 2 documents, 1 feature (0.00% sparse) and 1 docvar.
## features
## docs königstochter
## Der-Froschkoenig-oder-der-eiserne-Heinrich 0.014260250
## Die-zwei-Brueder 0.005227999
Ihr seht: die absoluten Häufigkeiten können ganz schön täuschen. Als wir anfangs von den absoluten Häufigkeiten ausgegangen sind, um Märchencharaktere zu identifizieren, sind wir von den insgesamt am häufigsten vorkommenden Tokens ausgegangen. Wie wir gesehen haben, bevorzugt diese Methode aber Charaktere, die in den längsten Märchen immer wieder vorkommen, weil die Anzahl an Erwähnungen mit der Gesamtanzahl der Wörter in einem Text zunimmt. Die relativen Häufigkeiten betonen dagegen Charaktere, die im Verhältnis zur Länge des Märchens häufig vorkommen und erlauben es, Märchen mit unterschiedlicher Länge zu vergleichen.
Achtung:
Relative Häufigkeiten sind aber nicht immer hilfreich. Wenn die Texte zu kurz sind und wie beispielsweise Tweets oder andere Social Media-Beiträge nur einige wenige Wörter enthalten, reicht es nicht aus, nur die Textlänge zu berücksichtigen. Einen Überblick über verschiedene Strategien, die in diesem Fall angewandt werden können, bietet Aatu Liimatta, Text length and short texts (Volltext verfügbar über Google Books oder Primo).
8.3.4 Term Frequency-Inverse Document Frequency (TF-IDF)
Neben den absoluten und den relativen Häufigkeiten gibt es noch ein drittes Maß, das häufig verwendet wird, um Worthäufigkeiten in einem Korpus zu vergleichen: die sogenannte Term Frequency-Inverse Document Frequency (kurz TF-IDF). Dieses Maß eignet sich besonders, um Tokens zu identifizieren, die häufig in einem bestimmten Dokument, aber selten im gesamten Korpus vorkommen. Der Name TF-IDF verrät bereits, wie das Maß berechnet wird: die absolute Häufigkeit jedes Tokens in einem Dokument (TF) wird ins Verhältnis zur Textlänge und zusätzlich zur Anzahl der Dokumente, in denen das Token auftritt (IDF), gesetzt. TF-IDF-Werte können mithilfe der Funktion dfm_tfidf() berechnet werden. Wir berechnen im Folgenden die TF-IDF-Werte für die beiden Märchen “Der Froschkönig” und “Die zwei Brüder” und vergleichen die Tokens mit den höchsten TF-IDF Werten. Anders als bei den absoluten und relativen Häufigkeiten müssen zur Berechnung der TF-IDF Werte Satzzeichen und Stoppwörter nicht unbedingt entfernt werden, weil das Maß Tokens, die in allen oder fast allen Texten vorkommen, gegenüber Tokens, die nur in wenigen Texten vorkommen, benachteiligt. Da wir aber bereits das Objekt subset_dfm_lemmata ohne Stoppwörter und Satzzeichen verwenden, die TF-IDF-Werte sind dieselben.
Da die TF-IDF Werte von der Anzahl der Dokumente, in denen das Token auftritt, abhängen, macht es einen Unterschied, ob die Werte für das gesamte Korpus oder für ein Teilkorpus berechnet werden:
# TF-IDF-Werte für ein Teilkorpus
tfidf_subset <- maerchen_corpus %>%
corpus_subset(Titel %in% c("Der-Froschkoenig-oder-der-eiserne-Heinrich", "Die-zwei-Brueder")) %>%
tokens() %>%
tokens_tolower() %>%
dfm() %>%
dfm_tfidf()
tfidf_subset[, "königstochter"]## Document-feature matrix of: 2 documents, 1 feature (0.00% sparse) and 2 docvars.
## features
## docs königstochter
## Der-Froschkoenig-oder-der-eiserne-Heinrich_1857.txt 0
## Die-zwei-Brueder_1857.txt 0
# TF-IDF-Werte für das gesamte Korpus
tfidf_corpus <- maerchen_corpus %>%
tokens() %>%
tokens_tolower() %>%
dfm() %>%
dfm_tfidf()
tfidf_corpus[c("Der-Froschkoenig-oder-der-eiserne-Heinrich_1857.txt", "Die-zwei-Brueder_1857.txt"), "königstochter"]## Document-feature matrix of: 2 documents, 1 feature (0.00% sparse) and 2 docvars.
## features
## docs königstochter
## Der-Froschkoenig-oder-der-eiserne-Heinrich_1857.txt 5.234666
## Die-zwei-Brueder_1857.txt 11.777999
Die TF-IDF Werte für das Teilkorpus geben Auskunft darüber, welche Tokens für jedes Dokument im Vergleich mit dem Teilkorpus besonders häufig vorkommen, also in diesem Fall verraten sie uns, dass im Märchen Forschkönig das Token “königstochter” im Vergleich mit dem Märchen Die zwei Brüder nicht besonders häufig vorkommt, denn das Token findet sich in beiden Texten. Die TF-IDF-Werte für das gesamte Korpus geben dagegen Auskunft darüber, welche Tokens in den beiden Märchen im Vergleich mit allen anderen Märchen besonders häufig vorkommen. Warum unterscheiden sich diese Werte? Schaut im optionalen Abschnitt “Mathemtatischer Hintergrund: TF-IDF” nach.
# TF-IDF-Werte für das gesamte Korpus berechnen
maerchen_dfm_tfidf <- maerchen_lemmata_rm %>%
dfm() %>%
dfm_tfidf()
tstat_freq_tfidf <- textstat_frequency(maerchen_dfm_tfidf, n = 10, groups = Titel, force = TRUE)
# Märchen Froschkönig und Die zwei Brüder auswählen
tstat_freq_tfidf_subset <- tstat_freq_tfidf[tstat_freq_tfidf$group %in% c("Die-zwei-Brueder", "Der-Froschkoenig-oder-der-eiserne-Heinrich"), ]
# Tokens mit den höchsten TF-IDF-Werten visualisieren
ggplot(
tstat_freq_tfidf_subset,
aes(x = tidytext::reorder_within(feature, frequency, group), y = frequency)
) +
geom_point() +
tidytext::scale_x_reordered() +
facet_wrap(~ group, scales = "free_y") +
coord_flip() +
labs(x = NULL, y = "TF-IDF")
Können wir ausgehend von den TF-IDF-Werten Vermutungen über den Inhalt oder die Charaktere in den beiden Märchen anstellen? Zum Vergleich betrachten wir noch einmal die Tokens mit den höchsten absoluten und relativen Häufigkeiten in den beiden Märchen:
tstat_freq_lemmata <- textstat_frequency(subset_dfm_lemmata, n = 10, groups = Titel, force = TRUE)
ggplot(
tstat_freq_lemmata,
aes(x = tidytext::reorder_within(feature, frequency, group), y = frequency)
) +
geom_point() +
tidytext::scale_x_reordered() +
facet_wrap(~ group, scales = "free_y") +
coord_flip() +
labs(x = NULL, y = "Raw Frequencies")
tstat_freq_weighted <- textstat_frequency(subset_dfm_weighted, n = 10, groups = Titel, force = TRUE)
ggplot(
tstat_freq_weighted,
aes(x = tidytext::reorder_within(feature, frequency, group), y = frequency)
) +
geom_point() +
tidytext::scale_x_reordered() +
facet_wrap(~ group, scales = "free_y") +
coord_flip() +
labs(x = NULL, y = "Relative Frequencies")
Dustin Stoltz und Marshall Taylor schreiben in ihrem Lehrbuch “Mapping Texts”: “We can think of tf-idf scores as giving us the keywords for a document — the set of words best summarizing the purpose or content of that text” (S. 88). Was haltet ihr nach unserem kleinen Beispiel von dieser Aussage?
Anwendungsbeispiele: TF-IDF
- Kimmo Elo (2022). A Text Network Analysis of Discursive Changes in German, Austrian and Swiss New Year’s Speeches 2000-2021, https://www.digitalhumanities.org/dhq/vol/16/1/000598/000598.html
- Kritik einer Arbeit, die TF-IDF auf problematische Weise anwendet: David L. Hoover (2016). Argument, Evidence, and the Limits of Digital Literary Studies, https://dhdebates.gc.cuny.edu/read/untitled/section/70f5261e-e268-4f56-928f-0c4ea30d254d.
- Die Arbeit, die kritisiert wird: https://companions.digitalhumanities.org/DLS/?chapter=content/9781405148641_chapter_26.html
Theoretischer Hintergrund: TF-IDF
- Alessandro Lenci und Magnus Sahlgren (2023). Distributional Semantics. Ch.2.3.1: Co-occurrence Weighting Functions, https://doi.org/10.1017/9780511783692.003
Mathematischer Hintergrund: TF-IDF
Für einen allgemeinen Einstieg in den mathematischen Hintergrund hinter TF-IDF empfehle ich:
- Dan Jurafsky (2022). Vectors 5 TF IDF, https://www.youtube.com/watch?v=TBUpxFw8oIA
- Dan Jurafsky und James Martin (2024). Speech and Language Processing. Ch. 6.5: TF-IDF. Weighing Terms in the Vector, https://web.stanford.edu/~jurafsky/slp3/.
Um zu verstehen, wie TF-IDF-Werte in Quanteda berechnet werden, müssen wir jedoch auch die Funktionsdokumentation zu Rate ziehen, den die Formeln zur Berechnung der TF-IDF Werte unterscheiden sich mitunter etwas. Unter “References” ist die Arbeit angegeben, welcher die Formel zur Berechnung der TF-IDF-Werte entnommen ist, “Introduction to Information Retrieval” von Christopher Manning, Prabhakar Raghavan, und Hinrich Schütze. Auf den Seiten 117-120 können wir nachlesen, wie die TF-IDF Werte berechnet werden:
“The tf-idf weighting scheme assigns to term t a weight in document d given TF-IDF by
\(tfidf_{t,d} = tf_{t,d} × idf_t\).
In other words, \(tf-idf_{t,d}\) assigns to term \(t\) a weight in document \(d\) that is
- highest when \(t\) occurs many times within a small number of documents (thus lending high discriminating power to those documents);
- lower when the term occurs fewer times in a document, or occurs in many documents (thus offering a less pronounced relevance signal);
- lowest when the term occurs in virtually all documents.”
Die term frequency \(tf_{t,d}\) ist einfach die absolute Häufigkeit für das Wort \(t\) im Dokument \(d\). Die inverse document frequency \(idf_t\) berechnet sich wie folgt:
\(idf_t = log (\frac{N}{df_t})\)
\(N\): total number of documents in a collection
\(df_t\): document frequency df of a term \(t\): in how many documents term t occurs
Dem Text können wir entnehmen, dass mit log() in diesem Fall der Logarithmus zur Basis 10 gemeint ist.
Diese Formeln verwenden wir nun, um manuell die TF-IDF-Werte für das Token “königstochter” in den beiden Märchen “Der Froschkönig” und “Die zwei Brüder” nachzurechnen.
Für das Teilkorpus nur aus den beiden Märchen hatte die Funktion dfm_tfidf() die folgenden TF-IDF Werte berechnet:
## Document-feature matrix of: 2 documents, 1 feature (0.00% sparse) and 2 docvars.
## features
## docs königstochter
## Der-Froschkoenig-oder-der-eiserne-Heinrich_1857.txt 0
## Die-zwei-Brueder_1857.txt 0
In diesem Fall ist also:
\(t\) = “königstochter”
\(N\) = 2
Für das Märchen “Der Froschkönig”:
\(tf_t\) = 8
\(df_t\) = 2
Also:
## [1] 0
Für das Märchen “Die zwei Brüder”:
\(tf_t\) = 18
\(df_t\) = 2
Also:
## [1] 0
Für das gesamte Korpus mit allen Märchen hatte die Funktion dfm_tfidf() dagegen die folgenden TF-IDF Werte berechnet:
# TF-IDF-Werte für das gesamte Korpus
tfidf_corpus[c("Der-Froschkoenig-oder-der-eiserne-Heinrich_1857.txt", "Die-zwei-Brueder_1857.txt"), "königstochter"]## Document-feature matrix of: 2 documents, 1 feature (0.00% sparse) and 2 docvars.
## features
## docs königstochter
## Der-Froschkoenig-oder-der-eiserne-Heinrich_1857.txt 5.234666
## Die-zwei-Brueder_1857.txt 11.777999
Auch diese Werte können wir manuell nachrechnen:
\(t\) = “königstochter”
\(N\) = 194
df_t <- length(tstat_freq_grouped$feature[grepl("königstochter", tstat_freq_grouped$feature)]
)
df_t## [1] 43
## [1] 5.234666
## [1] 11.778
Quellen
- Quanteda-Website: https://quanteda.io/
- Quanteda Tutorials: https://tutorials.quanteda.io/
- Quanteda Quick Start Guide: https://quanteda.io/articles/quickstart.html
- Beispiel “Textual Data Visualization”: https://quanteda.io/articles/pkgdown/examples/plotting.html
- Universität Stuttgart (2015), DH-Lexikon. Kollokation, https://www.ilw.uni-stuttgart.de/abteilungen/digital-humanities/dda/dhlexikon/index.html#K.
- Heiberger, Raphael and Munoz-Najar Galvez, Sebastian (2021). Text Mining and Topic Modeling, in: Engel et al. (eds.), Handbook of Computational Social Science. Vol. 2: Data Science, Statistical Modelling, and Machine Learning Methods, https://www.routledgehandbooks.com/doi/10.4324/9781003025245-24.
- Szudarski, Paweł (2023). Collocations, Corpora and Language Learning, Cambridge: Cambridge Univ. Press, https://doi.org/10.1017/9781108992602.
- Gabrielatos, Costas (2018). Keyness Analysis. Nature, Metrics and Techniques, in: Taylor, C. and Marchi, A. (eds.), Corpus Approaches to Discourse. A Critical Review, Oxford: Routledge, https://core.ac.uk/download/pdf/227092349.pdf.
- Evert, Stephanie (2009). Corpora and Collocations, in: Anke Lüdeling and Merja Kytö (eds.), Corpus Linguistics. An International Handbook. Vol. 2, pp. 1212-1248, https://doi.org/10.1515/9783110213881.2.1212.
- Schmid, Hans-Jörg (2003). Collocation: Hard to Pin Down, But Bloody Useful, in: Zeitschrift für Anglistik und Amerikanistik 513 (3), pp. 235-258, https://www.anglistik.uni-muenchen.de/personen/professoren/schmid/schmid_publ/collocation.pdf.
- Desagulier, Guillaume (2017). Corpus Linguistics and Statistics with R. Ch. 9.3. Association Measures, pp. 203-213, https://doi.org/10.1007/978-3-319-64572-8.
- Xiao, Richard et al. (2006). Corpus-Based Language Studies. Ch. 6: Making Statistical Claims, https://www.lancaster.ac.uk/fass/projects/corpus/ZJU/xCBLS/chapters/A06.pdf.
- Van Atteweldt, Wouter et al. (2022). Computational Analysis of Communication. Ch. 10.3: Advanced Representation of Text, https://cssbook.net/content/chapter10.html#sec-ngram.
- Levshina, Natalia (2015). How to Do Linguistics with R. Ch. 3.3: Zipf’s Law and Word Frequency, pp. 62-68, https://doi.org/10.1075/z.195.
- Maj, Michal (2019). Investigating Word Distribution with R - Zipf’s Law, https://www.r-bloggers.com/2019/02/investigating-words-distribution-with-r-zipfs-law/.
- Engelberg, Stefan (2015). Quantitative Verteilungen im Wortschatz. Zu lexikologischen und lexikografischen Aspekten eines dynamischen Lexikons, in: Ludwig M. Eichinger (Hrsg.), Sprachwissenschaft im Fokus, https://doi.org/10.1515/9783110401592.205.
- Stoltz, Dustin und Taylor, Marshall (2024). Mapping Texts. Computational Text Analysis for the Social Sciences, Ch. 6: From Text to Numbers, Oxford: Oxford Univ. Press.
- Grimmer, Justin, Roberts, Margaret und Stewart, Brandon (2022). Text as Data. A New Framework for Machine Learning and the Social Sciences, Princeton: Princeton Univ. Press, Ch. 5, 6, 7.
- Jurafsky, Daniel und Martin, James (2024). Speech and Language Processing. Ch. 6.5: TF-IDF. Weighing Terms in the Vector, https://web.stanford.edu/~jurafsky/slp3/.
- Manning, Christopher, Raghavan, Prabhakar, und Schütze, Hinrich (2008). Introduction to Information Retrieval. Ch. 6.2 Term Frequency and Weighting, pp. 117-120, https://nlp.stanford.edu/IR-book/pdf/irbookonlinereading.pdf
- Bubenhofer, Noah (2009). Sprachgebrauchsmuster. Korpuslinguistik als Methode der Diskurs- und Kulturanalyse. Kap. 6.1 Kollokationen, Kookkurrenzen, n-Gramme, https://www.zora.uzh.ch/id/eprint/111287/1/BubenhoferSprachgebrauchsmusterPub.pdf
- Evert, Stephanie (2005) The Statistics of Word Cooccurrences. Word Pairs and Collocations, Dissertation Universität Stuttgart, http://dx.doi.org/10.18419/opus-2556, insb. Kap. 3.1., 2.2.
- Church, Kenneth und Hanks, Patrick (1990). Word Association Norms, Mutual Information, and Lexicography, https://aclanthology.org/J90-1003/.
- Manning, Christopher und Schütze, Hinrich (1999). Foundations of Statistical Natural Language Processing. Ch.5: Collocations, https://nlp.stanford.edu/fsnlp/promo/colloc.pdf.
- Evert, Stephanie (2008). Corpora and collocations, in: Lüdeling A, Kytö M (Eds.), Corpus Linguistics. An International Handbook. (pp. 1212-1248). Berlin, New York: Mouton de Gruyter, https://stephanie-evert.de/PUB/Evert2007HSK_extended_manuscript.pdf.
- Wasserstein, Ronald, Schirm, Allen und Lazar, Nicole (2019). Moving to a World Beyond “p < 0.05”, in: The American Statistician Vol. 73, https://www.tandfonline.com/doi/full/10.1080/00031305.2019.1583913.
- Benoit, Kenneth (2019). More than Unigrams Can Say. Detecting Meaningful Multi-word Expressions in Political Text (Folien), https://statmath.wu.ac.at/research/talks/resources/2019_11_Benoit_1.pdf.
- Hamerle, Alfred und Tutz, Gerhard (1996). Multivariate statistische Verfahren. Kap. 10: Zusammenhanganalysen in mehrdimensionalen Kontingenztabellen - das loglineare Modell., https://www.degruyter.com/document/doi/10.1515/9783110816020-012, S. 537-550.